Logo Passei Direto
Buscar

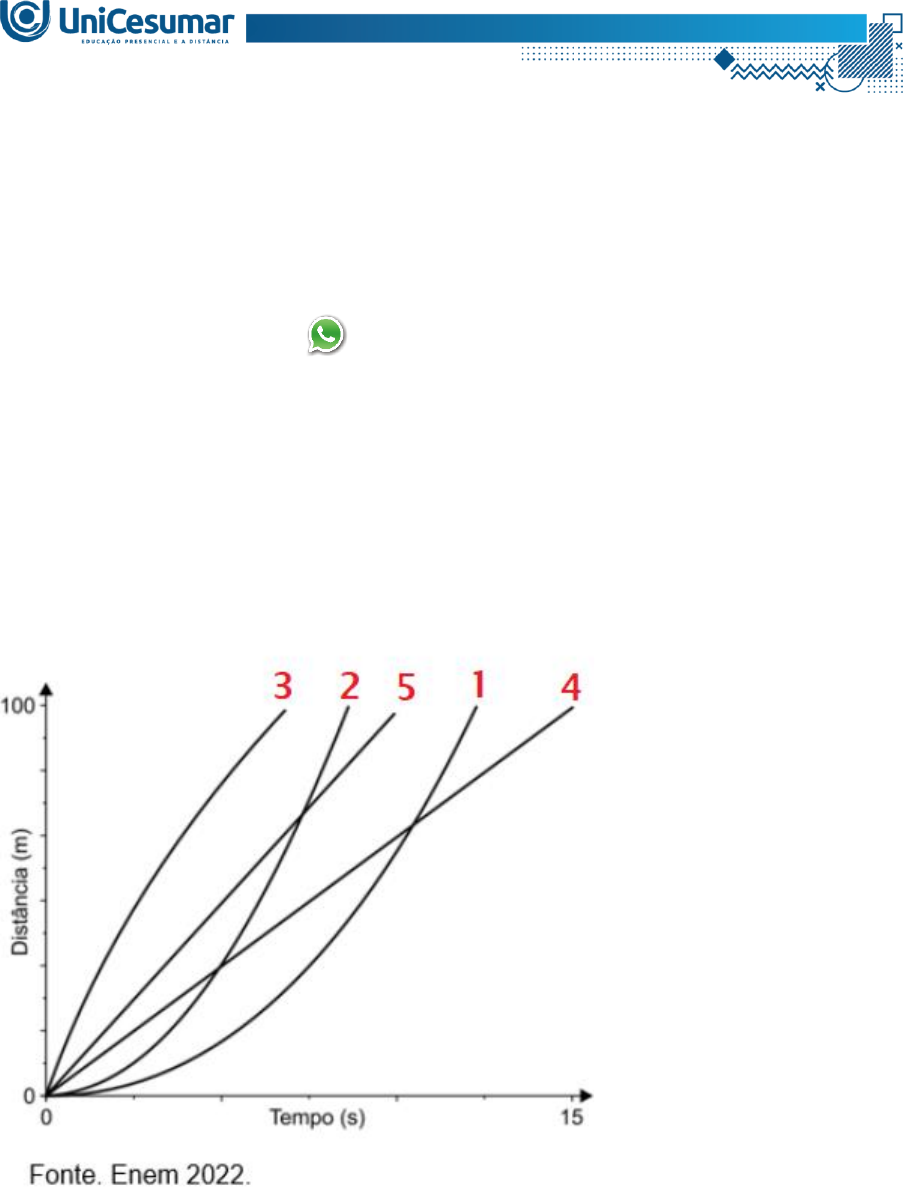
Em uma competição de velocidade, diz-se que há uma ultrapassagem quando um veículo que está atrás de outro passa à sua frente, com ambos se deslocando no mesmo sentido. Considere uma competição automo

User badge image
Laine Boss

em

Ferramentas de estudo

Material
páginas com resultados encontrados.
páginas com resultados encontrados.

Prévia do material em texto

<p>Olá, aluno(a)! Está com dificuldade ou sem tempo para elaborar</p><p>essa atividade? Iremos te ajudar!</p><p>Entre em contato</p><p>(63) 99129-5554</p><p>ATIVIDADE 1 – ESOFT – ESTATÍSTICA - 53_2024</p><p>Em uma competição de velocidade, diz-se que há uma ultrapassagem quando um veículo</p><p>que está atrás de outro passa à sua frente, com ambos se deslocando no mesmo sentido.</p><p>Considere uma competição automobilística entre cinco carros em uma pista com 100 m de</p><p>comprimento, onde todos largam no mesmo instante e da mesma linha. O gráfico a seguir</p><p>mostra a variação da distância percorrida por cada veículo: veículo 1, veículo 2 até o veículo</p><p>5, em função do tempo, durante toda a competição</p><p>Fonte: adaptado de: https://www.exercicios-resolvidos.com/2022/11/enem-2022-em-uma-</p><p>competicao-de.html. Acesso em: 29 maio. 2023</p><p>Com base nas informações do enunciado e do gráfico, responda</p><p>a) Quantos veículos participaram da corrida?</p><p>b) Quantas ultrapassagens ocorreram durante a corrida? E quem ultrapassou quem?</p><p>c) Quais foram as ordens de chegadas dos veículos?</p><p>d) Qual ou quais veículos apresentaram velocidades mais constantes durante a corrida? Por</p><p>quê?</p><p>Observação: a entrega da atividade deve ser feita na caixa de texto a seguir. Atente-se,</p><p>pois, após a finalização da atividade, não será possível realizar alterações no texto.</p><p>Verifique a sua resposta antes de finalizar.</p><p>• Evite compartilhar sua resolução com colegas da turma. A expressão do aprendizado é</p><p>pessoal e única de cada estudante. Preserve sua autoria e evite transtornos na replicação</p><p>de sua resposta.</p><p>• Não são permitidas correções parciais no decorrer do módulo, pois a interpretação da</p><p>atividade também faz parte da avaliação.</p><p>• Atenção ao prazo de entrega da atividade. Sugerimos que envie sua atividade antes do</p><p>prazo final para evitar transtornos e lentidão nos servidores. Evite o envio de atividade em</p><p>cima do prazo!</p><p>Boa atividade!</p>

Mais conteúdos dessa disciplina