Logo Passei Direto
Buscar
Material
páginas com resultados encontrados.
páginas com resultados encontrados.

Prévia do material em texto

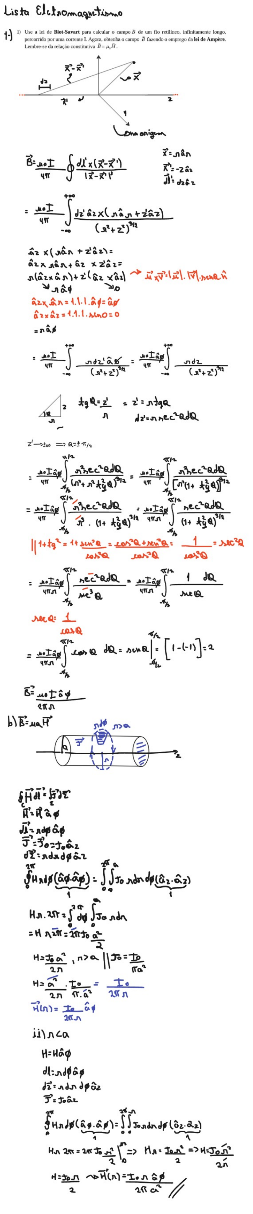
<p>Lista Use lei de Biot-Savart para calcular campo B de um fio infinitamente longo, percorrido por corrente Agora obtenha campo fazendo emprego lei de Ampère relação constitutiva 2 = r - 11/2 = = (1+ = = = casQ = Q a =H n>a I. 25 2 2</p>

Mais conteúdos dessa disciplina