Logo Passei Direto
Buscar
Material
páginas com resultados encontrados.
páginas com resultados encontrados.
left-side-bubbles-backgroundright-side-bubbles-background

Experimente o Premium!star struck emoji

Acesse conteúdos dessa e de diversas outras disciplinas.

Libere conteúdos
sem pagar

Ajude estudantes e ganhe conteúdos liberados!

Prévia do material em texto

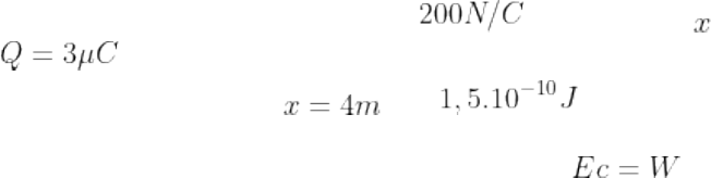
<p>A Lei de Coulomb expressa que duas cargas puntiformes se atraem ou se repelem com uma força diretamente proporcional ao produto das cargas e inversamente proporcional ao quadrado da distância que os separa e que qualquer carga elétrica exerce forças de atração ou repulsão sobre outras cargas no espaço ao redor.</p><p>Considerando o trecho apresentado, avalie as asserções a seguir e a relação proposta entre elas.</p><p>I. Um campo elétrico uniforme de valor está na direção . Uma carga puntiforme é liberada, inicialmente, em repouso na origem. O valor da energia cinética da carga quando ela está em é de .</p><p>PORQUE</p><p>II. A energia cinética será igual ao trabalho realizado: , portanto, para encontrarmos o valor quando temos uma carga elétrica circundando um campo elétrico, basta multiplicarmos o campo pela carga e dividir pela distância entre eles.</p><p>Resposta:</p><p>As asserções I e II são proposições falsas.</p><p>image1.gif</p><p>image2.gif</p><p>image5.gif</p><p>image3.gif</p><p>image6.gif</p><p>image4.gif</p>

Mais conteúdos dessa disciplina