Logo Passei Direto
Buscar
Material
páginas com resultados encontrados.
páginas com resultados encontrados.
left-side-bubbles-backgroundright-side-bubbles-background

Experimente o Premium!star struck emoji

Acesse conteúdos dessa e de diversas outras disciplinas.

Libere conteúdos
sem pagar

Ajude estudantes e ganhe conteúdos liberados!

Prévia do material em texto

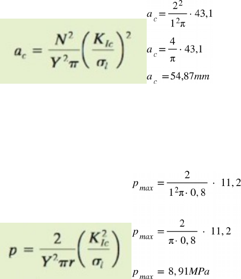
<p>Disciplina: Mecânica da Fratura e Mecânica da Fadiga.</p><p>Identificação da tarefa: Tarefa 3. Unidade 3. Envio de arquivo.</p><p>Pontuação: 10 pontos.</p><p>Tarefa 3</p><p>Use como referência o material complementar, disponível na biblioteca da disciplina, Exemplo de Projeto Utilizando Mecânica da Fratura. Considere um vaso de pressão, um tanque esférico que tenha que conter um gás sob pressão de p, feito de aço de médio teor de carbono (1040), com espessura t e raio r = 800 mm. O parâmetro Y para placas com defeitos muito menores que a largura da amostra tende à unidade, logo, Y = 1. Considere o fator de segurança N =2,0. Segundo dois critérios de projeto mostrado no exemplo, determine:</p><p>a) O comprimento crítico de trinca para um vaso de pressão com p = 2 MPa e t = 10mm. Nesse critério a ideia é que ocorra um escoamento do material antes que a trinca atinja um tamanho que possa decorrer em uma ruptura catastrófica.</p><p>b) Qual pressão máxima admissível pmax de um vaso de pressão com espessura t = 8 mm utilizando do critério de projeto “vazar antes de romper”?]</p><p>image1.png</p><p>image2.png</p><p>image3.png</p><p>image4.png</p>

Mais conteúdos dessa disciplina