Logo Passei Direto
Buscar
Material
páginas com resultados encontrados.
páginas com resultados encontrados.

Prévia do material em texto

ATIVIDADE DE PESQUISA 
 
EFEITO DO TIPO DE FASE MÓVEL E DO TIPO DE ELUIÇÃO NA ANÁLISE DE HIDRAZONAS 
POR CLAE 
 
Os cromatogramas 1, 2 e 3 correspondem às três corridas da amostra de hidrazonas, por CLAE, usando um detector espectrofotométrico UV-Vis. 
 
INFORMAÇÕES SOBRE A AMOSTRA: 
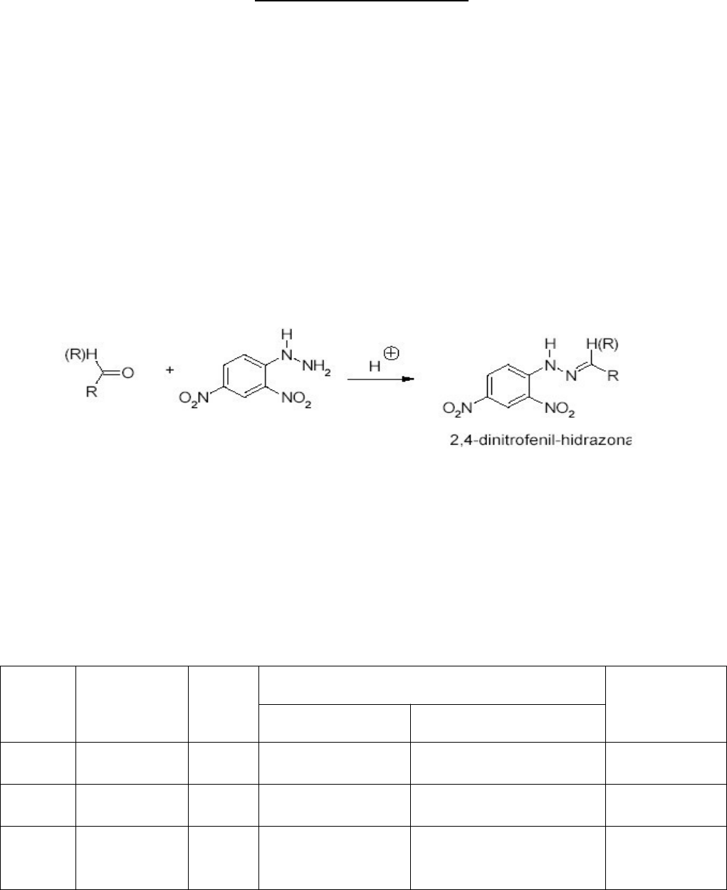
As hidrazonas são formadas a partir da reação da hidrazina com aldeídos: 
 
 
A amostra utilizada é composta das hidrazonas obtidas a partir do formaldeído, acetaldeído, acroleína e propanaldeido. 
As corridas foram realizadas num mesmo equipamento com as seguintes condições cromatográficas: 
· Coluna cromatográfica com fase estacionária C8, 250mm, 5µm • Volume de injeção: 3µL 
· Temperatura da coluna: 35ºC 
 
	Corrida 
	Fluxo (vazão) da fase móvel 
	Tempo 
(min) 
	Fase móvel 
	Comp. de onda de 
detecção 
(nm) 
	
	
	
	% Acetonitrila 
	% Acetonitrila:Água 
(6:4) 
	
	1 
	1 
	0 
	100 
	0 
	350 
	 
	1 
	10 
	100 
	0 
	350 
	2 
	1 
	0 
	0 
	100 
	350 
	 
	1 
	10 
	0 
	100 
	350 
	3 
	1 
	0 
	10 
	90 
	350 
	 
	1 
	2 
	50 
	50 
	350 
	 
	1 
	10 
	50 
	50 
	350 
 	 
CROMATOGRAMAS OBTIDOS 
 
Relatório
 
Corrida 1
 
	# Pico 
	Tempo de retenção 
(min) 
	Largura da banda ½ altura (min) 
	1 
	1,1 
	0,25 
	2 
	1,3 
	0,25 
	3 
	** 
	** 
	4 
	** 
	** 
 
Corrida 2 
 
Relatório 
	# Pico 
	Tempo de retenção 
(min) 
	Largura da banda ½ altura (min) 
	1 
	1,1 
	0,20 
	2 
	1,6 
	0,20 
	3 
	8,2 
	1,50 
	4 
	9,0 
	1,00 
 
 	 
 
Corrida 3 
 
Relatório 
	# Pico 
	Tempo de retenção 
(min) 
	Largura da banda ½ altura (min) 
	1 
	1,3 
	0,20 
	2 
	1,8 
	0,20 
	3 
	2,8 
	0,30 
	4 
	3,3 
	0,30 
 
 
 	 
Resultados e observações (registre aqui os resultados observados em cada uma das corridas) 
	Corrida 
	# Pico 
	Tempo de retenção 
(min) 
	Largura de banda ½ altura (min) 
	Observações 
	1 
	 
	 
	 
	 
 
 
 
	
	 
	 
	 
	
	
	 
	 
	 
	
	
	 
	 
	 
	
	2 
	 
	 
	 
	 
 
 
 
	
	 
	 
	 
	
	
	 
	 
	 
	
	
	 
	 
	 
	
	3 
	 
	 
	 
	 
 
 
 
	
	 
	 
	 
	
	
	 
	 
	 
	
	 
	 
	 
	 
	
 
Discussões 
1. Comparar os perfis cromatográficos obtidos nas três corridas. 
2. Comparar os tempos de retenção das hidrazonas nas três corridas. 
3. Comparar a largura de banda à meia altura dos picos das hidrazonas nas três corridas. 
4. Propor uma identificação para os picos obtidos. 
5. Qual a ordem de eluição das hidrazonas? 
6. Justificar os resultados encontrados. 
Página 1 de 4 
 
Página 1 de 4 
 
Página 1 de 4 
 
image10.jpg
image30.png
image4.jpg
image5.jpg
image1.jpg
image2.jpg
image3.png

Mais conteúdos dessa disciplina