Logo Passei Direto
Buscar
Material
páginas com resultados encontrados.
páginas com resultados encontrados.

Prévia do material em texto

400 CHAPTER 12 
 
 
12.3. Nonyl mandelate has a longer alkyl chain than 
octyl mandelate and is therefore more effective at 
penetrating cell membranes, rendering it a more potent 
agent. Nonyl mandelate has a shorter alkyl chain than 
decyl mandelate and is therefore more water-soluble, 
enabling it to be transported through aqueous media and 
to reach its target destination more effectively. 
 
 
12.4. 
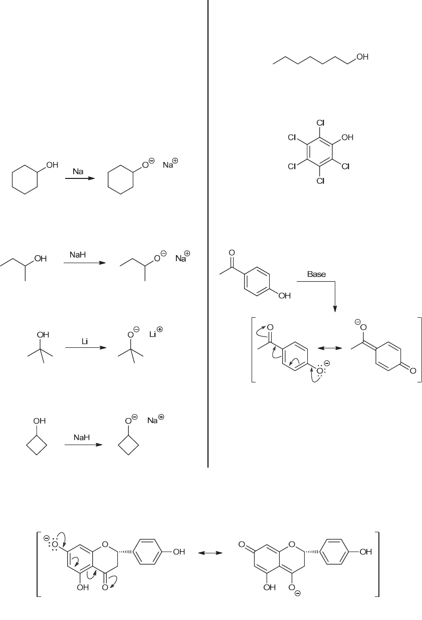
(a) When an alcohol is treated with elemental sodium 
(Na), the OH group is deprotonated, giving the 
corresponding alkoxide ion. 
 
 
 
(b) When an alcohol is treated with sodium hydride 
(NaH), the OH group is deprotonated, giving the 
corresponding alkoxide ion. 
 
 
 
(c) When an alcohol is treated with elemental lithium 
(Li), the OH group is deprotonated, giving the 
corresponding alkoxide ion. 
 
 
(d) When an alcohol is treated with sodium hydride 
(NaH), the OH group is deprotonated, giving the 
corresponding alkoxide ion. 
 
 
 
12.5. 
(a) The first compound is more acidic because the 
conjugate base of a primary alcohol will be more easily 
solvated than the conjugate base of a tertiary alcohol. 
 
 
 
(b) The first compound is more acidic because the 
electron-withdrawing effects of the chlorine atoms 
stabilize the conjugate base. 
 
 
 
(c) The second compound is more acidic because its 
conjugate base is more stabilized by resonance, with the 
negative charge spread over two oxygen atoms, rather 
than just one oxygen atom. 
 
 
 
(d) The second compound is more acidic because its 
conjugate base is stabilized by resonance. In contrast, 
the conjugate base of the first compound is not 
resonance-stabilized. 
 
 
12.6. The hydroxyl group on the benzene ring on the left is expected to be more acidic (lower pKa) because its 
conjugate base has a resonance structure in which the negative charge is spread onto an oxygen atom of the carbonyl 
group, as shown below: 
 
 
 
In contrast, the hydroxyl corresponding to pKa2 does not have such a resonance structure and can only spread its 
negative charge onto carbon atoms. 
 
www.MyEbookNiche.eCrater.com

Mais conteúdos dessa disciplina