Logo Passei Direto
Buscar

Chegg Solutions for Microelectronic Circuits (Adel S Sedra, Kenneth C Smith) (Z-Library)_parte_066

Material
páginas com resultados encontrados.
páginas com resultados encontrados.

Prévia do material em texto

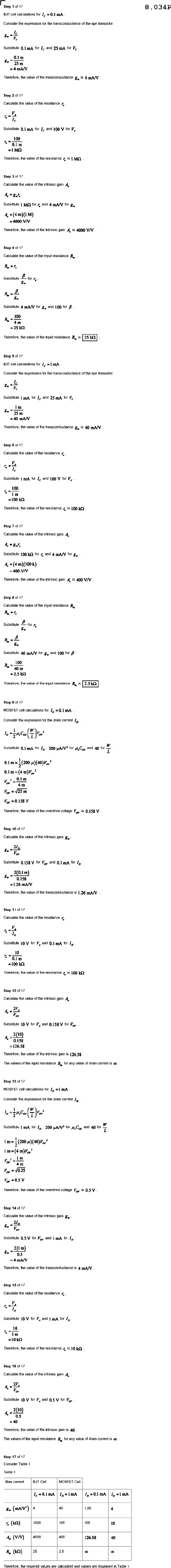
8.034P 0.1m Therefore Substitute 100 MO Substitute Therefore Substitute 25 m mA 100 Therefore Substitute Consider Substitute Step 10 of 17 Substitute 0.158 Step 11 of 17 Substitute Step 12 of 17 Substitute 0.158 2(10) 0.158 =126.58 Therefore value 126.58 MOSFET Substitute =4 mA/V mA/V Step 15 of 17 Substitute Step 18 of 17 Step 17 of 17 Consider Table-1 Table-1 1.26 4 1000 100 100 10 4000 400 126.58 40 25 25

Mais conteúdos dessa disciplina