Logo Passei Direto
Buscar
Buscar
Clube PD
Aprender Inglês
PD Concursos
Enviar material
Entrar
Chegg Solutions for Microelectronic Circuits (Adel S Sedra, Kenneth C Smith) (Z-Library)_parte_816
Neurociência
Exatas
Maria Beatriz dos Anjos Melo
em
15/10/2025
0
0
Reportar
Reportar
Gabarito
Exercícios
Mapa mental
Resumo
Mais opções
Ferramentas de estudo
Gabarito
Exercícios
Mapa mental
Resumo
Mostrar todas
Material
Buscar
páginas com resultados encontrados.
páginas com resultados encontrados.
Buscar
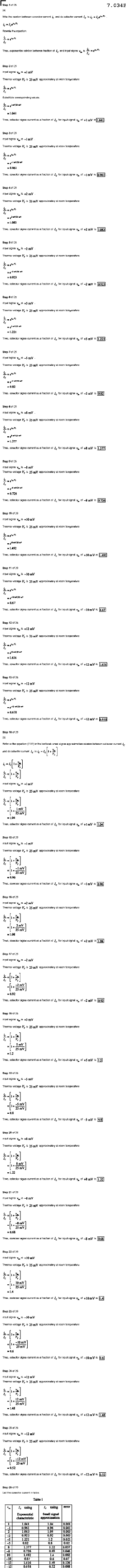
Prévia do material em texto
using
Mais conteúdos dessa disciplina
Pós Graduação Neurociência Evolução e Atualidade - Apresentação - Resumo
Neurociência e Gestão de Conflitos
Moda e Memória A importância da vestimenta para a construção de memórias afetivas
EBOOKintroduçãoaPNL3 5 - Resumo
WhatsApp Image 2025-09-28 at 20 14
WhatsApp Image 2025-09-28 at 20 14
41
AVALIAÇÃO NEUROPSICOPEDAGOGIA FUNDAMENTOS E PRÁTICAS DOS CONTEXTOS DE ATUAÇÃO
Aprendizado de Máquina Profund
IMG_9590
IMG_9587
) O processamento atencional sofre influência de ações cerebrais que direcionam o pensamento para aspectos vantajosos, controlando e ativando a atençã
Na anamnese, são solicitados dados: Questão 5Escolha uma opção: a. categorização, memória de trabalho e flexibilidade cognitivas b. controle mo...
AVALIAÇÃO NEUROPSICOLÓGICA E NEUROCIÊNCIA Módulo 1 - Princípios Fundamentais da Neurociência Teste do módulo 1 - pos cbi of miami
O reconhecimento de músicas no cérebro ocorre principalmente no cortex temporal do hemisferio direito
O reconhecimento de músicas no cérebro ocorre principalmente no cortex temporal do lado direito
As funções executivas – FEs são habilidades cognitivas que possibilitam o controle de pensamentos, emoções e ações. Assinale a alternativa que indica
O primeiro passo de uma tentativa de ensino é: Questão 4Resposta a. Apresentar o estímulo antecedente e a instrução verbal. b. Dar as...
É um fenômeno no qual a exposição prévia a um determinado estímulo influencia a percepção ou o processamento subsequente desse mesmo estímulo ou de...
Sobre o condicionamento clássico, analise as seguintes assertivas: I –O condicionamento clássico representa um dos fundamentos da aprendizagem decl...
A respeito da neuroplasticidade, marque V para as alternativas verdadeiras e F para as falsas. ( )A neuroplasticidade representa a capacidade dinâm...
A neuropsicopedagogia é uma ciência transdisciplinar que se originou da junção das neurociências, da psicologia e da pedagogia. Sobre os fundamento...
Um aspecto relacionado à atenção executiva é o controle de esforço, que envolve a capacidade de manter o foco, mudar de direção quando necessário e...
Como mitigar vieses em modelos profundos?
4 5-Superior17
AVALIANDO APRENDIZADO
Mostrar mais conteúdos
chevronDownIcon