Logo Passei Direto
Buscar
Buscar
Clube PD
Aprender Inglês
PD Concursos
Enviar material
Entrar
Chegg Solutions for Microelectronic Circuits (Adel S Sedra, Kenneth C Smith) (Z-Library)_parte_1333
Fisiologia do Exercício
Exatas
Bruno Henrique Rubituci
em
15/10/2025
0
0
Reportar
Reportar
Gabarito
Exercícios
Mapa mental
Resumo
Mais opções
Ferramentas de estudo
Gabarito
Exercícios
Mapa mental
Resumo
Mostrar todas
Conteúdos escolhidos para você
1 pág.
Chegg Solutions for Microelectronic Circuits (Adel S Sedra, Kenneth C Smith) (Z-Library)_parte_1866
1 pág.
Chegg Solutions for Microelectronic Circuits (Adel S Sedra, Kenneth C Smith) (Z-Library)_parte_1875
1 pág.
Chegg Solutions for Microelectronic Circuits (Adel S Sedra, Kenneth C Smith) (Z-Library)_parte_1871
1 pág.
Chegg Solutions for Microelectronic Circuits (Adel S Sedra, Kenneth C Smith) (Z-Library)_parte_1704
1 pág.
Chegg Solutions for Microelectronic Circuits (Adel S Sedra, Kenneth C Smith) (Z-Library)_parte_1874
Perguntas dessa disciplina
: 93817391 - Avaliação Final Lielronica An 2. Um amplificador operacional possui o valor de (Ob aberta A=50.000, com modo de operação de entrada ga...
UNIASSELVI
29. Considere um amplificador operacional operando no modo entrada diferencial. A entrada não inversora é alimentada com um sinal de tensão V₁=5,55...
Considere um amplificador operacional operando no modo entrada diferencial. A entrada não inversora é alimentada com um sinal de tensão V1=5,55 mV,...
UNIASSELVI
Um amplificador operacional possui o valor de ganho de malha aberta A=50.000, com modo de operação de entrada diferencial. Seus terminais de entrad...
UNIASSELVI
Os diodos utilizados, nesse modelo de circuitos de retificadores de meia onda, são chamados de diodos retificadores e costumam ser muito superiores...
Material
Buscar
páginas com resultados encontrados.
páginas com resultados encontrados.
Buscar
Conteúdos escolhidos para você
1 pág.
Chegg Solutions for Microelectronic Circuits (Adel S Sedra, Kenneth C Smith) (Z-Library)_parte_1866
1 pág.
Chegg Solutions for Microelectronic Circuits (Adel S Sedra, Kenneth C Smith) (Z-Library)_parte_1875
1 pág.
Chegg Solutions for Microelectronic Circuits (Adel S Sedra, Kenneth C Smith) (Z-Library)_parte_1871
1 pág.
Chegg Solutions for Microelectronic Circuits (Adel S Sedra, Kenneth C Smith) (Z-Library)_parte_1704
1 pág.
Chegg Solutions for Microelectronic Circuits (Adel S Sedra, Kenneth C Smith) (Z-Library)_parte_1874
Perguntas dessa disciplina
: 93817391 - Avaliação Final Lielronica An 2. Um amplificador operacional possui o valor de (Ob aberta A=50.000, com modo de operação de entrada ga...
UNIASSELVI
29. Considere um amplificador operacional operando no modo entrada diferencial. A entrada não inversora é alimentada com um sinal de tensão V₁=5,55...
Considere um amplificador operacional operando no modo entrada diferencial. A entrada não inversora é alimentada com um sinal de tensão V1=5,55 mV,...
UNIASSELVI
Um amplificador operacional possui o valor de ganho de malha aberta A=50.000, com modo de operação de entrada diferencial. Seus terminais de entrad...
UNIASSELVI
Os diodos utilizados, nesse modelo de circuitos de retificadores de meia onda, são chamados de diodos retificadores e costumam ser muito superiores...
Prévia do material em texto
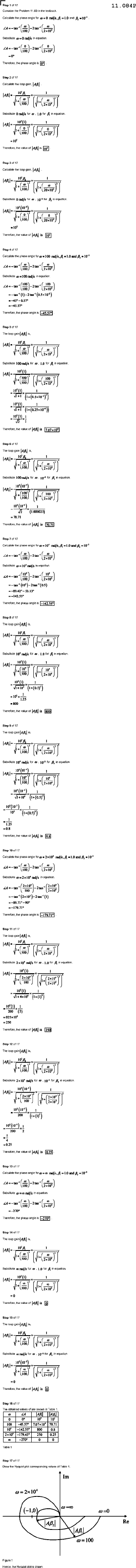
@ @ : Im Re
Mais conteúdos dessa disciplina
1 (141)
Chegg Solutions for Microelectronic Circuits (Adel S Sedra, Kenneth C Smith) (Z-Library)_parte_1866
Chegg Solutions for Microelectronic Circuits (Adel S Sedra, Kenneth C Smith) (Z-Library)_parte_1871
Chegg Solutions for Microelectronic Circuits (Adel S Sedra, Kenneth C Smith) (Z-Library)_parte_1872
Chegg Solutions for Microelectronic Circuits (Adel S Sedra, Kenneth C Smith) (Z-Library)_parte_1874
Chegg Solutions for Microelectronic Circuits (Adel S Sedra, Kenneth C Smith) (Z-Library)_parte_1875
Chegg Solutions for Microelectronic Circuits (Adel S Sedra, Kenneth C Smith) (Z-Library)_parte_1905
Chegg Solutions for Microelectronic Circuits (Adel S Sedra, Kenneth C Smith) (Z-Library)_parte_1704
Chegg Solutions for Microelectronic Circuits (Adel S Sedra, Kenneth C Smith) (Z-Library)_parte_1498
Chegg Solutions for Microelectronic Circuits (Adel S Sedra, Kenneth C Smith) (Z-Library)_parte_1506
Chegg Solutions for Microelectronic Circuits (Adel S Sedra, Kenneth C Smith) (Z-Library)_parte_1532
Chegg Solutions for Microelectronic Circuits (Adel S Sedra, Kenneth C Smith) (Z-Library)_parte_1310
São adaptações fisiológicas produzidas pelo trabalho de resistência geral, exceto: Clique na sua resposta abaixo Menor capilarização. Maior consumo de
Quais são os três componentes básicos do exercício físico que produzem as adaptações desejadas nas rotinas produzidas pelo exercício físico? Cliqu...
Explique resumidamente entre o débito cardíaco a frequência cardíaca e o consumo de oxigênio durante uma caminhada de atividade física
Quais são os três componentes básicos do exercício físico que produzem as adaptações desejadas nas rotinas produzidas pelo exercício físico? Cliqu...
Veja algumas terminologias que são usadas para descrever as funções desses músculos pareados durante o movimento. Músculos sinergistas, característica
Existem duas formas distintas de fadiga durante os exercícios de jogo em equipe, quais são elas? Assinale a alternativa correta. a. Fadiga de cansaço
Assinale a alternativa correta. Atletas treinados em Sprint tendem a ter uma maior prevalência de músculo com fibras tipo: a. Fibras tipo l e ll. b. F
Durante o exercício físico de alta intensidade e curta duração, qual via metabólica é a principal fonte de ATP para a contração muscular
Durante o exercício físico de alta intensidade e curta duração, qual via metabólica é a principal fonte de ATP para a contração muscular
O sistema anaeróbio aláctico se destaca em termos de ação: A No início do exercício. B No exercício prolongado. C No meio e no fim do exer...
São respostas agudas durante o exercício físico em temperaturas elevadas: Finalizar prova A B Declínio da frequência cardíaca em atividades ...
O corpo humano produz ácido lático, mas ele se dissocia rapidamente em lactato e íons H⁺. O lactato é benéfico e importante para o metabolismo, enquan
Um ponto de vista tradicional é que a produção de lactato também está associada à produção de: Assinale a alternativa correta. a. Força-veloci...
Tecnologia e microbiologia da carne
Biologia celular 2 ( membrana)
Mostrar mais conteúdos
chevronDownIcon