Logo Passei Direto
Buscar

Chegg Solutions for Microelectronic Circuits (Adel S Sedra, Kenneth C Smith) (Z-Library)_parte_1719

Material
páginas com resultados encontrados.
páginas com resultados encontrados.

Prévia do material em texto

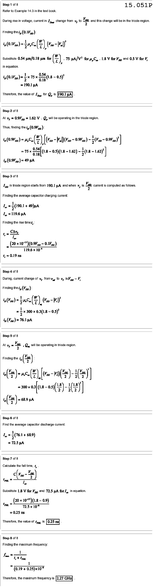
Step of 8 15.051P Refer to Example 14.3 in the text book. During rise in voltage, current in change from to and this change will be in the triode region. 2 Finding the Substitute 0.54 µm/0.18 for W 75 for 1.8 V for and 0.5 V for in equation. Therefore, the value of for Q, is Step of 8 At = = 1.62 V will be operating in the triode region. Thus, finding the = 0.18 Step of 8 in triode region starts from 190.1 and when is current is computed as follows. 2 Finding the average capacitor charging current: Finding the rise = Step of 8 During, current change of from to Finding the Step of 8 At will be operating in triode region. Finding the Step of 8 Find the average capacitor discharge current: Step of 8 Calculate the fall time, 1, Substitute 1.8 V for and 72.5 in equation. = = 0.25 ns Therefore, the value of PHL is 0.25 ns Step of 8 Finding the maximum frequency: 1 1 = Therefore, the maximum frequency is 2.27 GHz 2.27 GHz

Mais conteúdos dessa disciplina