Logo Passei Direto
Buscar
Material
páginas com resultados encontrados.
páginas com resultados encontrados.

Prévia do material em texto

CHAPTER 7 187
 
7.6 The leaving group is the oxygen atom of the three-membered ring, and the nucleophile is the oxygen atom bearing 
the negative charge. In the transition state, each of these groups is drawn as being connected to the  carbon 
(highlighted below) with a dotted line (indicating these bonds are in the process of forming or breaking), and a  
symbol is placed on each group to indicate that the charge is spread over both locations. Notice that the  carbon 
(highlighted) undergoes inversion of configuration. This can be seen if we compare the location of the hydrogen atom 
in compound 1 (H is on a dash) and in compound 2 (H is on a wedge). Since the H goes from being on a dash to being 
on a wedge, it must pass through the plane of the page in the transition state. For this reason, the H is drawn on a 
straight line (not a wedge or a dash): 
 
O
O
-
-
O
O
OO
HH H
nucleophile
leaving
group
 
 
 
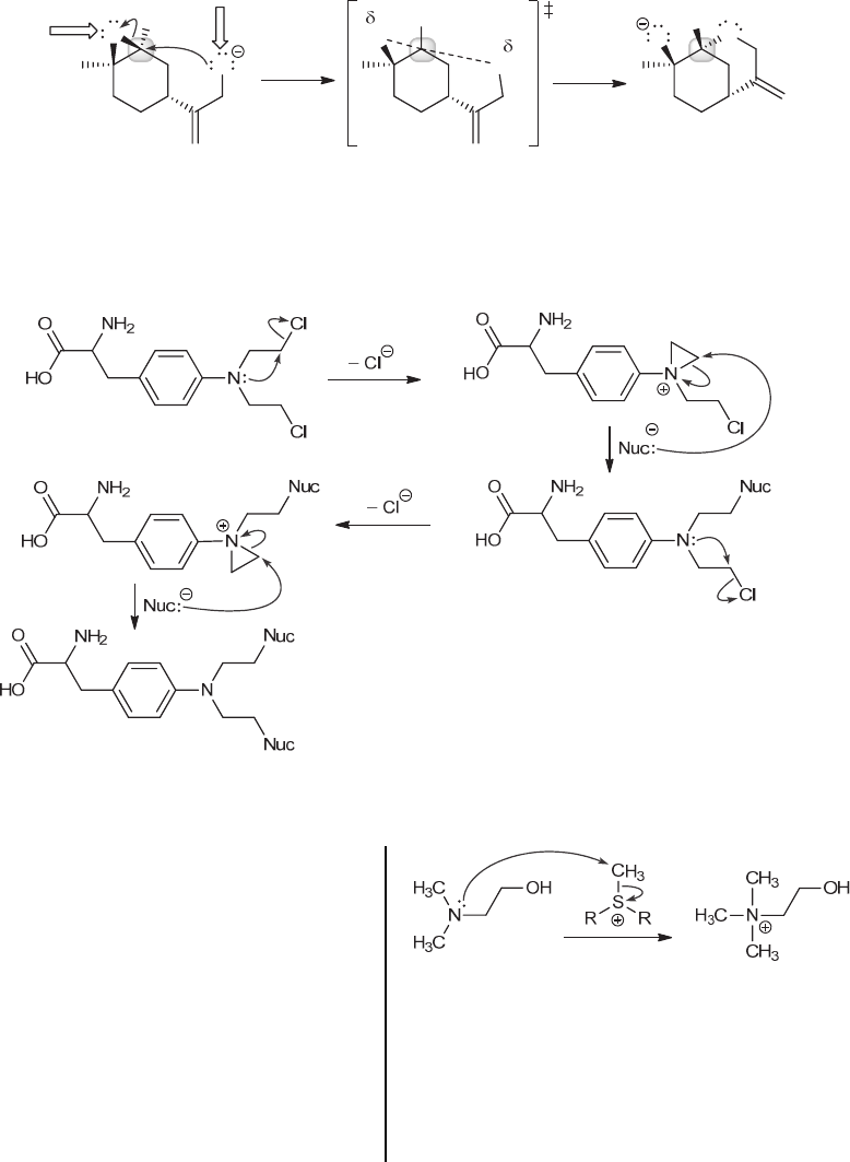
7.7. The lone pair of the nitrogen atom (connected to the aromatic ring) can function as a nucleophile, ejecting the 
chloride ion in an intramolecular SN2-type reaction, generating a high-energy intermediate that exhibits a three-
membered ring. The ring is opened upon attack of a nucleophile in an SN2 process. These two steps are then repeated, 
as shown here. 
 
 
 
 
 
 
7.8. The second reaction employs a polar aprotic 
solvent (DMSO) and is therefore expected to occur at a 
faster rate. 
 
7.9. The first reaction employs iodide, which is a 
stronger nucleophile than chloride. With all other factors 
being the same (the alkyl halide is the same in both 
reactions, and the solvent is the same for both reactions), 
the first reaction is expected to occur at a faster rate. 
 
7.10. The nitrogen atom functions as a nucleophilic 
center and attacks the electrophilic methyl group in 
SAM, forming an ammonium ion. 
 
 
 
 
7.11. 
(a) With a second-order rate equation, the rate is 
expected to be linearly dependent on the concentrations 
of the substrate and the base. If the concentration of the 
substrate is tripled, then the rate is expected to be three 
times faster. 
www.MyEbookNiche.eCrater.com

Mais conteúdos dessa disciplina