Logo Passei Direto
Buscar
Material
páginas com resultados encontrados.
páginas com resultados encontrados.

Prévia do material em texto

352 CHAPTER 10 
 
 
 
 
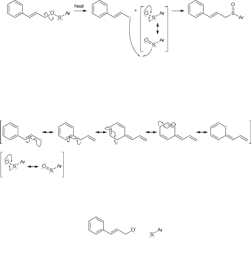
10.53. 
(a) In the first step, the C-O bond undergoes homolytic cleavage, yielding the two radicals shown. A resonance 
structure of the sulfoxide radical demonstrates that the unpaired electron is delocalized over the oxygen and sulfur 
atoms, as shown. Recombination of the radicals then provides the product, as shown. 
 
 
 
 
 
 
(b) To propose an explanation for the scission of the C-O bond over the O-S bond, we must analyze the radicals 
formed from each of these homolytic cleavages. The radicals formed from cleavage of the C-O bond are both 
resonance stabilized, as shown below. Note that the sulfoxide radical is also further resonance-stabilized by the 
adjacent aromatic ring (not shown). The formation of these resonance-stabilized radicals is consistent with facile bond 
cleavage. 
 
 
 
 
The radicals formed from homolytic cleavage of the O-S bond are shown below. The oxygen radical is not resonance-
stabilized. The sulfur radical is resonance-stabilized due to being adjacent to an aromatic ring. However, analogous 
resonance stabilization is also present in the sulfoxide radical shown above, so this does not provide any additional 
relative stabilization. 
 
 
 
 
 
 
 
 
 
 
 
 
 
 
 
 
www.MyEbookNiche.eCrater.com

Mais conteúdos dessa disciplina