Logo Passei Direto
Buscar
Material
páginas com resultados encontrados.
páginas com resultados encontrados.

Prévia do material em texto

CHAPTER 23 985 
 
 
 
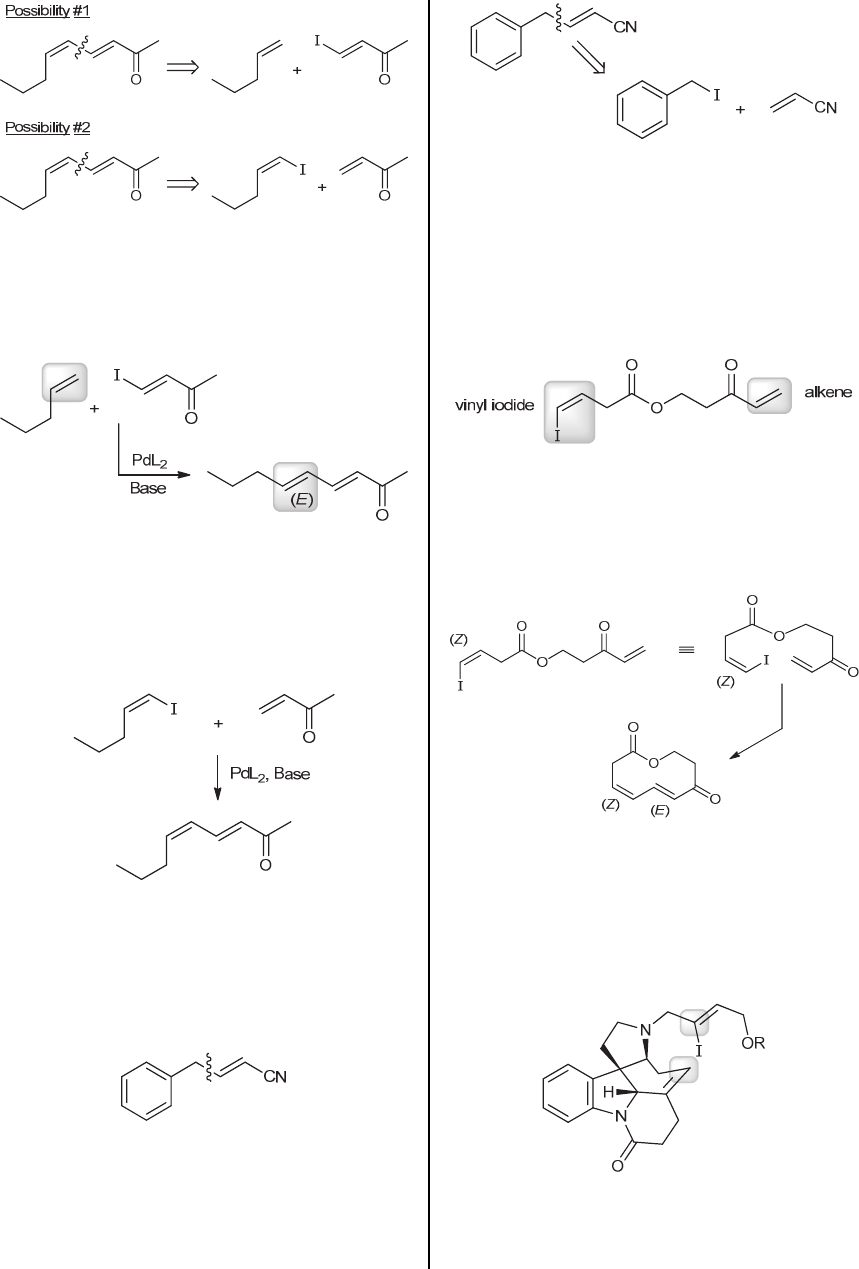
The first possibility is not viable because Heck reactions 
are stereoselective with respect to the starting alkene, 
and the E isomer (rather than the Z isomer) would be 
expected: 
 
 
 
This is not the desired stereochemical outcome, so we 
turn our attention to the second possibility. This 
possibility works, and it has the added advantage that the 
starting alkene is monosubstituted, with an electron-
withdrawing substituent (so we expect the reaction to be 
very effective). 
 
 
 
(f) Analyze the structure of the product and determine 
which bond(s) can be made via a Heck reaction. Recall 
that a Heck reaction forms a bond between a vinyl 
position and either an aryl, vinyl or benzyl position. In 
the desired compound, there is only one bond that fits 
this criterion: 
 
 
 
This bond, indicated with a wavy line, is between a 
benzyl group and a vinyl group. To make this bond via a 
Heck reaction, we must start with an organohalide and an 
alkene. Since one of the coupling partners must be an 
alkene, the other partner (in this case) must be a benzyl 
halide, as shown: 
 
 
Notice that the alkene is monosubstituted, with an 
electron-withdrawing substituent, so we expect the 
reaction to be very effective. 
 
 
 
23.25. In a Heck reaction, an alkene is coupled with an 
organohalide. In this case, the two coupling partners are 
tethered together in the same compound: 
 
 
 
Upon treatment with a base and a suitable palladium 
catalyst, an intramolecular Heck reaction can occur. 
Notice that the Z configuration of the vinyl iodide is 
preserved. The new C-C bond is formed regioselectively 
and stereoselectively, with the E configuration being 
formed: 
 
 
 
23.26. Begin by identifying the carbon atoms that will 
be joined. The carbon atom connected to the iodide will 
be joined directly to the proximal carbon of the alkene (a 
bond will be formed between the two highlighted 
positions): 
 
 
Next, consider the intermediate that forms when the 
palladium catalyst interacts with compound 1. 
 
www.MyEbookNiche.eCrater.com

Mais conteúdos dessa disciplina