Logo Passei Direto
Buscar
Material
páginas com resultados encontrados.
páginas com resultados encontrados.

Prévia do material em texto

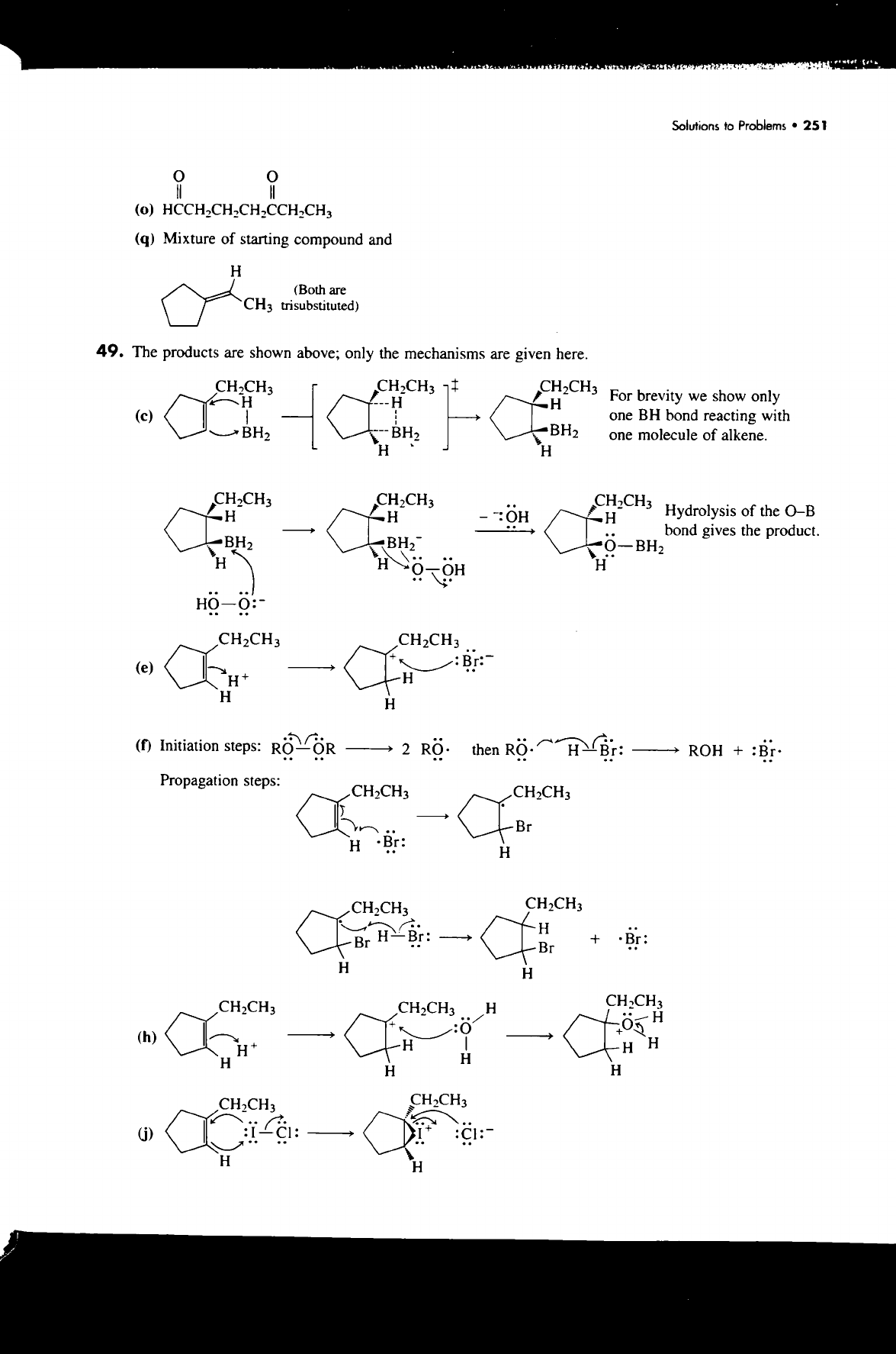
Solutions to Problems 251 O (o) (q) Mixture of starting compound and H (Both are CH₃ trisubstituted) 49. The products are shown above; only the mechanisms are given here. CH₂CH₃ CH₂CH₃ CH₂CH₃ H H H For brevity we show only (c) one BH bond reacting with BH₂ BH₂ BH₂ one molecule of alkene. H H CH₂CH₃ CH₂CH₃ CH₂CH₃ H H - OH H Hydrolysis of the O-B bond gives the product. BH₂ BH₂⁻ BH₂ H H OH H CH₂CH₃ CH₂CH₃ + (e) Br: H⁺ H H H (f) Initiation steps: 2 RO. then RO ROH + :Br. Propagation steps: CH₂CH₃ CH₂CH₃ Br H Br: H CH₂CH₃ CH₂CH₃ H Br H-Br: + Br: Br H H CH₂CH₃ CH₂CH₃ H CH₂CH₃ H + + (h) H⁺ H H H H H H H CH₂CH₃ CH₂CH₃ (j) Cl: H H

Mais conteúdos dessa disciplina