Logo Passei Direto
Buscar
Material
páginas com resultados encontrados.
páginas com resultados encontrados.
left-side-bubbles-backgroundright-side-bubbles-background

Experimente o Premium!star struck emoji

Acesse conteúdos dessa e de diversas outras disciplinas.

Libere conteúdos
sem pagar

Ajude estudantes e ganhe conteúdos liberados!

Prévia do material em texto

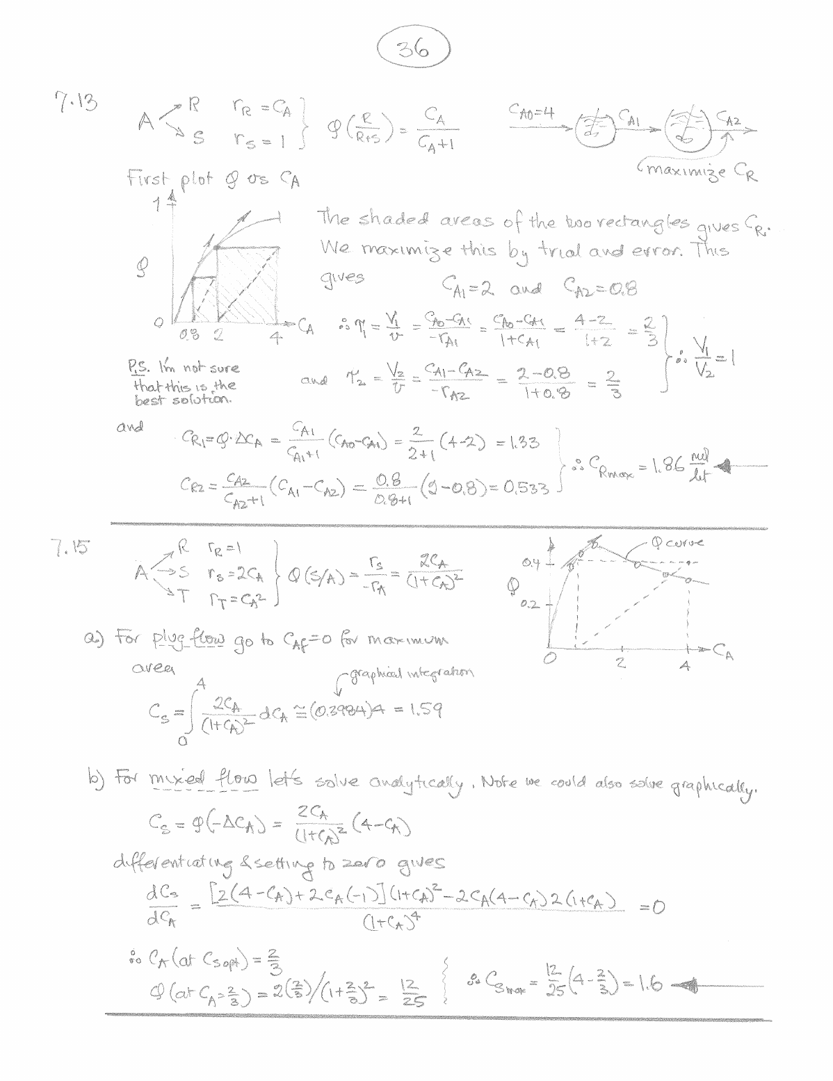
36 7.13 A S rs=1 R = CA+1 CA CA2 = First plot CA maximize CR The shaded areas of the two rectangles gives CR. Q We maximize this by trial and error. This gives CA1=2 and 0.00 2 4 CA = = CAO = 4-2 1+2 = I'm not sure that this is the and T2 = V2 = CA1-CA2 = 2-0.8 1+0.8 = V2 best solution. and = = 2+1 (4-2) = 1.33 : = 1.86 let CR2 = CA2+1 = 0.8+1 = 0,533 7.15 R curve A S rs = 2CA Q (S/A) = rs = 2CA 0.4 T = CA2 0.2 For go to for I A area 2 4 4 graphical integration = 2CA dCA (0,3984)4 = 1.59 b) For mixed flow let's solve Note we could also salve graphically. Cs = (-ACA) 2CA (4-CA) differentiating &setting to zero gives dCs = =0 = CA (at (sopt) = (at CA = = 2 = 12 25

Mais conteúdos dessa disciplina