Logo Passei Direto
Buscar
Material
páginas com resultados encontrados.
páginas com resultados encontrados.

Prévia do material em texto

222 Solutions Manual for Analytical Chemistry 2.1
[ ] [ ] . ( . )ln ln minC B t2 082 3 325 10t t
2 1
#. =- -
- -
 he y-intercept of –2.082 is equivalent to ln[B]0; thus,
[ ] .B e 0 125 mM.
0
2 082
= =
-
 he slope of the regression line in Figure SM13.5 gives the rate con-
stant kB, which is approximately 0.0332 min–1. To ind values for [A]0 
and for kA, we must correct [C]t for the contribution of B. his is easy 
to do because we know that
[ ] [ ] [ ]C A Bt t t= +
 and that
[ ] [ ]B B et
k t
0
B
=
-
 which means that
[ ] [ ] [ ]A C B et t
k t
0
B
= -
-
 For example, at time t = 1, the concentration of B is 0.1209 mM and 
the concentration of A is 0.313 mM – 0.1209 mM = 0.1921 mM. 
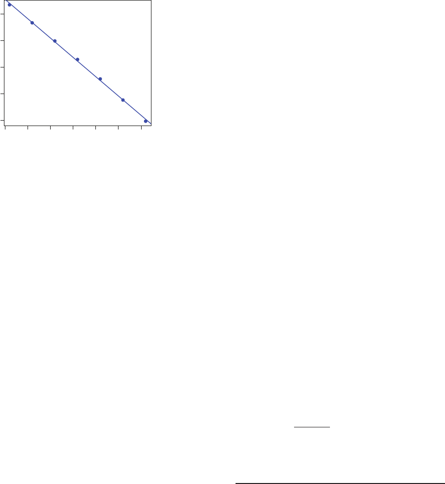
Figure SM13.6 shows a plot of ln[A]t versus time from t = 1 min 
to t = 31 min. A regression analysis of the data gives the following 
equation
[ ] . ( . )ln min tA 1 44 0 14552t
1
=- -
-
 from which the slope gives the value of kA as 0.146 min–1 and the 
y-intercept of –1.442 yields the initial concentration of A
[ ] .eA 0 236 mM.
0
1 442
= =
-
15. For radioactive decay, we know that . /t 0 693/1 2 m= . Using the irst 
entry in Table 13.1 as an example, we ind that
12.5 yr
0.693 5.54 10 yr 2
H
2
3 #m = =
- -
 he decay constants for the isotopes in Table 13.1 are provided here
isotope half-life decay constant
3H 12.5 yr 5.54×10–1 yr–2
14C 5730 yr 1.21×10–4 yr–1
32P 14.3 d 4.85×10–2 d–1
35S 87.1 d 7.96×10–3 d–1
45Ca 152 d 4.56×10–3 d–1
55Fe 2.91 yr 2.38×10–1 yr–1
60Co 5.3 yr 1.31×10–1 yr–1
131I 8 d 8.66×10–2 d–1
0 5 10 15 20 25 30
-6
-5
-4
-3
-2
time (min)
ln
[A
] t
Figure SM13.6 Plot of the data for Prob-
lem 14 after we remove the contribution 
from B. he blue dots are the recalculated 
data and the blue line is a regression anal-
ysis restricted data from t = 1 min to t = 
31 min when the reaction of A is complete.

Mais conteúdos dessa disciplina