Prévia do material em texto
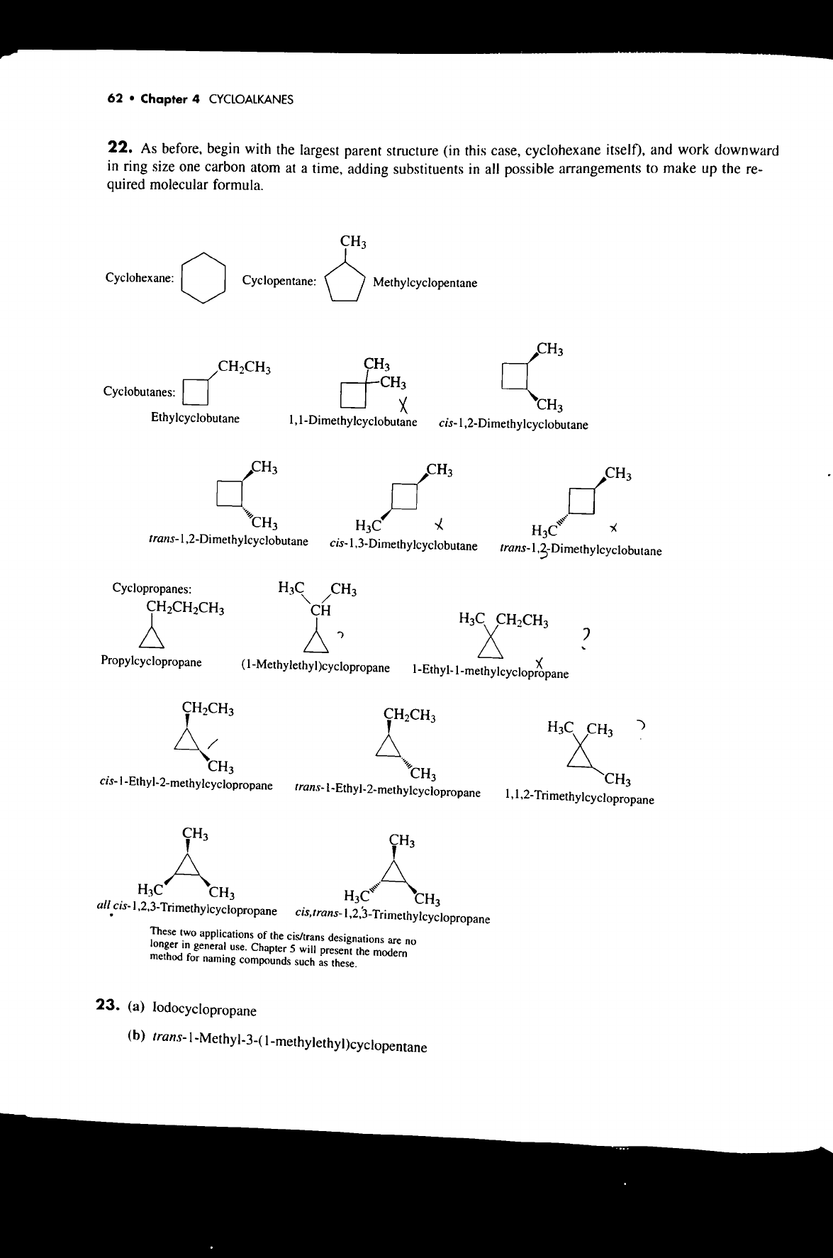
62 Chapter 4 CYCLOALKANES 22. As before, begin with the largest parent structure (in this case, cyclohexane itself), and work downward in ring size one carbon atom at a time, adding substituents in all possible arrangements to make up the re- quired molecular formula. CH₃ Cyclohexane: Cyclopentane: Methylcyclopentane CH₃ CH₂CH₃ CH₃ CH₃ Cyclobutanes: CH₃ Ethylcyclobutane cis-1,2-Dimethylcyclobutane CH₃ CH₃ CH₃ CH₃ trans-1,2-Dimethylcyclobutane cis-1,3-Dimethylcyclobutane trans-1,2-Dimethylcyclobutane Cyclopropanes: CH₃ CH₂CH₂CH₃ CH H₃C CH₂CH₃ ? Propylcyclopropane (1-Methylethyl)cyclopropane 1-Ethyl-1-methylcyclopropane CH₂CH₃ CH₂CH₃ CH₃ ? CH₃ CH₃ CH₃ 1,1,2-Trimethylcyclopropane CH₃ CH₃ H₃C CH₃ H₃C CH₃ all cis-1,2,3-Trimethylcyclopropane These two applications of the cis/trans designations are no longer in general use. Chapter 5 will present the modern method for naming compounds such as these. 23. (a) (b)