Logo Passei Direto
Buscar
Material
páginas com resultados encontrados.
páginas com resultados encontrados.

Prévia do material em texto

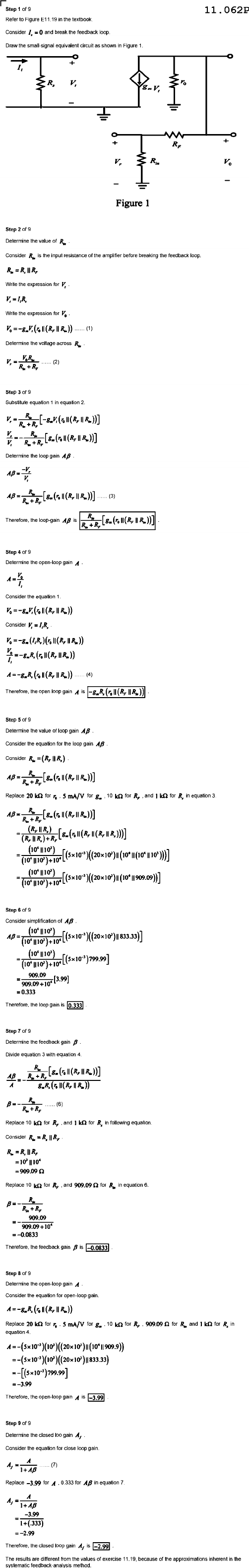
Step 11.062P Refer to Figure E11 19 in textbook Consider I, =0 and break the feedback Draw the small signal equivalent circui Figure 1. - 4 R, V, + + + V, V. - - Figure 1 Step 2 of 9 Determine value of Consider is the input resistance amplifier before breaking the feedback loop. Write expression V. Write the expression V. (1) Determine the voltage across V. (2) Step 3 of 9 Substitute equation equation 2 V, Determine the gain AB (3) the loop-gain AB Step 4 of 9 Determine open-loop gain A Consider equation Consider (4) Therefore, the open loop gain Step 5 of 9 Determine the value loop gain AB Consider the equation the loop gain AB Consider Replace for 5 mA/V for g. 10 for R, and for R. = = Step 6 of 9 Consider simplification AB AB 909.09 [3.99] 909.09- =0.333 the loop gain is 0.333 Step 7 of 9 Determine feedback gain Divide equation with equation AB A (6) Replace 10 for R, and for in following equation Consider Replace 10 for R, and 909.09 for 909.09 - the feedback gain -0.0833 Step 8 of 9 Determine the open-loop gain A Consider the equation for Replace 5 mA/V for 10 for R, 909.09 £ for and for equation 4 =-3.99 the open-loop gain -3.99 Step 9 of 9 Determine closed A, Consider the equation for close loop gain (7) 1+AB Replace -3.99 for A 0.333 for AB 7. 1+AB -3.99 1+(.333) the closed loop gain -2.99 The results are different from the values exercise 11. because the approximations the systematic feedback analysis method

Mais conteúdos dessa disciplina