Logo Passei Direto
Buscar
Material
páginas com resultados encontrados.
páginas com resultados encontrados.

Prévia do material em texto

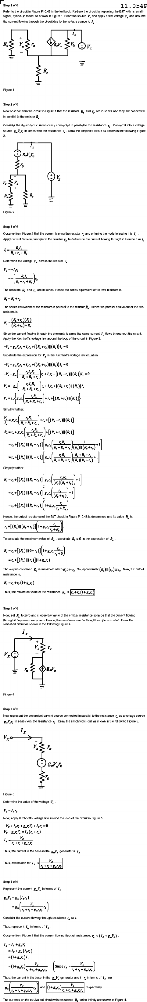
Step 11.054P Refer the P10 the Redraw the circuit by replacing BJT with small- hybrid model shown Figure Short the source and apply test voltage V, the current flowing through the circuit due to the voltage source I, + - R, Figure Step Now observe from the circuit Figure that the resistors R, and are series and they are connected resistor R, Consider the dependent current source connected the resistance Convert into voltage source series with the resistance Draw the simplified circuit as shown following Figure 2. R, Figure 2 Step Observe from Figure that the current leaving the resistor and entering the node following Apply current division principle to the resistor determine the current flowing through Determine the voltage V. across the resistor The resistors R, and are series Hence the series equivalent the two resistors is, The series ivalent of the resistors the resistor R, Hence the parallel valent two R2 Since the current flowing through the elements same the same current flows throughout the circuit Apply the Kirchhoff's voltage law around the loop circuit Figure 3. Substitute the expression for in the Kirchhoffs voltage law equation V. R, Hence, the utput resistance the BJT circuit Figure P10 determined and its value To calculate the maximum value substitute =0 in the expression The output resistance R, maximum when >>r, approximate the output Thus, the maximum value the resistance Step Now, set R, to zero and choose the value of the emitter resistance so large that the current lowing through becomes nearly zero Hence the resistance can be thought as open circuited Draw the simplified shown the following Figure 4 ro Figure Step Now represen the dependent curren source connected the resistance as voltage source with the resistance Draw the simplified circuit as shown the following rx Figure 5 Determine the value voltage Now apply voltage law around the loop circuit Figure 5. Thus, the current Thus, expression Step Represent the current Consider the current flowing through resistance represent in terms serve from Figure the current flowing through Vx Thus, the current base, the generator and in are and respectively The currents resistance set to infinity are shown

Mais conteúdos dessa disciplina