Logo Passei Direto
Buscar

Ferramentas de estudo

Material
páginas com resultados encontrados.
páginas com resultados encontrados.

Prévia do material em texto

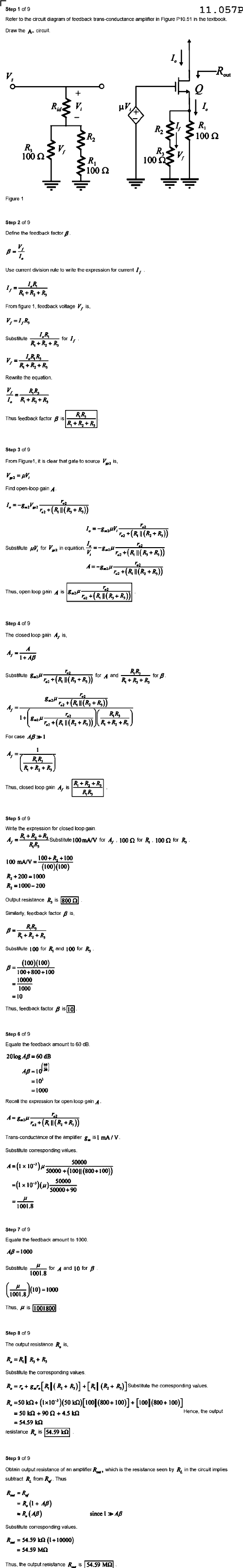
Step 1 of 9 11.057P Refer circuit diagram feedback trans conductance amplifier in Figure .51 textbook Draw circuit R out + R 100 Ω V, 100 Ω 100 Ω . . . Figure 1 Step Define the feedback Use current division rule to write the expression for current From figure feedback voltage is, Substitute for Rewrite R,R, R,R, Thus feedback factor Step 3 of 9 From Figure1 clear that gate source Substitute for V, Thus, open Step A 1+AB R,R, Substitute for and for B 1+ For case R,R, Thus, R,R, Step Write expression for closed loop gain R,R, Substitute 100mA/V for A, for for R, 100 mA/V +100 (100)(100) R2 200=1000 Output resistance feedback factor is R,R, Substitute 100 and 100 for R, (100)(100) 100+800+100 10000 1000 Thus, feedback Step Equate feedback amount dB 20log dB =1000 Recall the expression for Trans amplifier 8. is mA Substitute corresponding values 50000 10" 50000 50000 90 1001.8 Step Equate feedback amount to 1000 Substitute 1001.8 B (10)=1000 1001.8 Thus, 1001800 Step The resistance is Substitute the corresponding values Hence output resistance Step Obtain output resistance amplifier which the resistance seer by in the circui implies subtract Thus since Substitute values. 10000) Thus the output resistance

Mais conteúdos dessa disciplina