Logo Passei Direto
Buscar
Material
páginas com resultados encontrados.
páginas com resultados encontrados.

Prévia do material em texto

Problem 5.21 PP
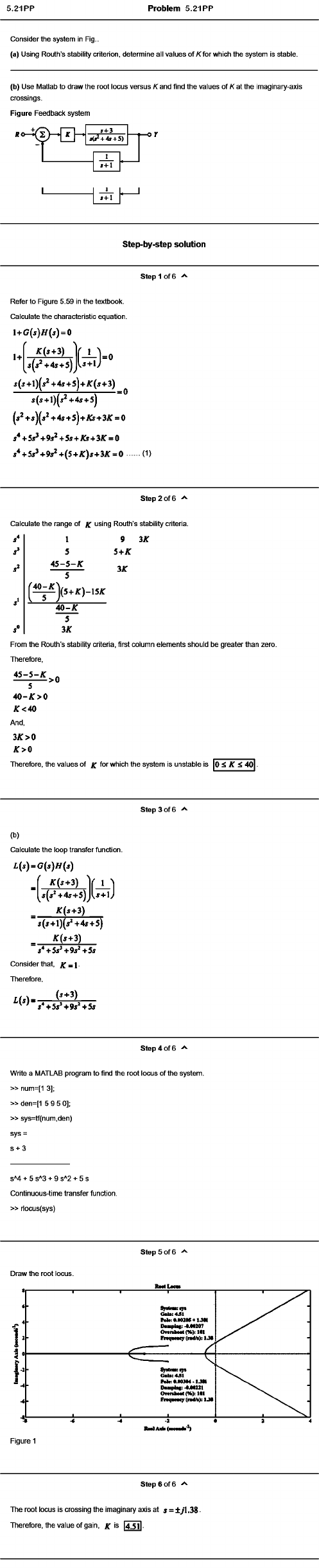
Consider the system in Fig..
(a) Using Routh’s stability criterion, determine all values of K for which the system is stable.
(b) Use Matlab to draw the root locus versus K and find the values of K at the Imaginary-axis 
crossings.
Figure Feedback system
E L h -
S tep -by-s tep s o lu tio n
step 1 of 6
Refer to Figure 5.59 in the textbook. 
Calculate the characteristic equation. 
1 + G ( j ) f f ( j ) = 0 
' K (s + 3 )
1 + m - ’
i ( j + l ) ( s ^ + 4 i + 5 ) + A : ( j + 3 ) 
j ( j + l ) ( i ^ + 4 i + s j 
+ j){ » ^ + 4 » + 5 )+ K s + 3 X = 0
tS s * + 9 j ^ + 5 j + * s +3A: = 0 
j * + 5 j ’ + 9 j ^ + (5 + A :)s + 3 X = 0 ( 1)
Step 2 of 6 ^
Calculate the range of using Routh’s stability criteria.
I 9 3K
5 5 ^ K
4 S -5 - K
3AT
4 0 -K 
5
3AT
From the Routh’s stability criteria, first column elements should be greater than zero. 
Therefore,
S
4 0 - K > 0
K 0
^ > 0
Therefore, the values of for which the system is unstable is |0 ^ AT ^
Step 3 of 6
(b)
Calculate the loop transfer function.
L (s ) = G (» )W (i)
 ̂ ^(^-^3) Y 1 j
[ i ( i ^ + 4 s + 5 ) J l i+ l
y ( » + 3 )
j ( j+ l ) ( j* + 4 s + S )
AT(j+3)
+ & ’ + 9 i* + 5 i
Consider that, =
Therefore,
(^ ^ 3 )
i ( s ) .
s * + J j ’ + 9 » " + 5 s
Step 4 of 6 ^
Write a MATLAB program to find the root locus of the system. 
» num=[1 3]:
» den=[1 5 9 5 0];
» sys=tf(num,den) 
sys = 
s + 3
sM + 5 s'^3 + 9 s'^2 + 5 s 
Continuous-time transfer function. 
» riocus(sys)
Draw the root locus.
Step 5 of 6
Figure 1
Step 6 of 6
The root locus is crossing the imaginary axis at ^ = ± J{ ,38. 
Therefore, the value of gain, is I S U

Mais conteúdos dessa disciplina