Logo Passei Direto
Buscar
Material
páginas com resultados encontrados.
páginas com resultados encontrados.
left-side-bubbles-backgroundright-side-bubbles-background

Experimente o Premium!star struck emoji

Acesse conteúdos dessa e de diversas outras disciplinas.

Libere conteúdos
sem pagar

Ajude estudantes e ganhe conteúdos liberados!

Prévia do material em texto

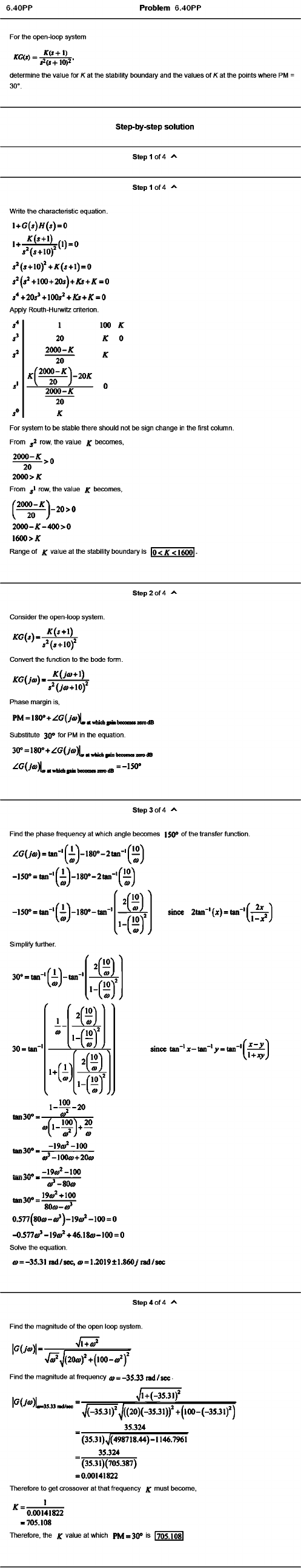
Problem 6.40PP
For the open-loop system
K C (S):
K ( s + \ )
determine the value for K at the stability boundary and the values of K at the points where PM = 
30“.
Step-by-step solution
step 1 of 4
Step 1 of 4
Write the characteristic equation.
1 + G ( j ) « ( i ) = 0
i ^ ( j + l o p ' 
» * { i+ io ) * + A : ( i+ i ) = o 
»^(** + 100+20s)+AS+i(r = 0
j ‘ + 2 0 j ’ + 100 i* + K j+ A : = 0
Apply Routh-Hurwitz criterion.
1 100 K
20 K 0
2000-X
20
2000-a:
20
K
For system to be stable there should not be sign change in the first column. 
From ^2 row, the value x becomes,
2 0 0 0 ^ ^ 0
20
20oo> a:
From j t row, the value becomes,
m —
2 m - K - m > o
\€ 0 0 > K
Range of value at the stability boundary is |0 ) L , ^ ^ ,
Substitute 30® for PM in the equation.
30° = 180°+ZG (;a>H . . . . I
__________ = - > » ”
Step 3 of 4 ^
Find the phase frequency at which angle becomes 150® of the transfer function.
Z G 0 « ) = U n - ( l ) - 1 8 0 " - 2 , « . - g )
,-(i)-.80--2.»-g)
€ )
-I50° = tan-‘
-150'=tan a> 180'-tan
i'-© J
since 2tan"'(;c)=tan"'̂ ĵ ĵ
Simplify further.
30®=tan"* j - tan"' ’ )-19*-100 = 0
-0377

Mais conteúdos dessa disciplina