Logo Passei Direto
Buscar
Material
páginas com resultados encontrados.
páginas com resultados encontrados.

Prévia do material em texto

312 CHAPTER 9 
 
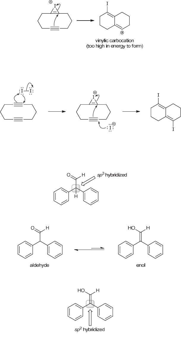
(b) As shown, the resulting carbocation would be vinylic, and we have seen that vinylic carbocations are generally too 
high in energy to form: 
 
 
(c) The problem statement describes the following two-step mechanism, which avoids the formation of a vinylic 
carbocation intermediate. After the initial formation of the iodonium ion, the iodide anion can attack the second alkyne 
group, causing the -electrons to attack the iodonium ion, giving the final product. 
 
 
 
 
9.71. 
(a) The highlighted carbon atom has four  bonds, and is therefore sp3 hybridized. As a result, the geometry around 
this carbon atom is expected to be tetrahedral, with approximate bond angles of 109.5°. 
 
 
 
(a) Compound 1 is an aldehyde, and its enol is shown here: 
 
 
If we explore the same carbon atom that we analyzed in part (a), we find that this carbon atom (highlighted below) is 
sp2 hybridized, with approximate bond angles of 120°. 
 
 
 
(c) As we noted in the solutions to parts (a) and (b), we expect the bond angles to change when compound 1 is 
converted into its enol form. Specifically, there is an increase in the bond angles from 109.5° to 120°, as shown: 
 
www.MyEbookNiche.eCrater.com

Mais conteúdos dessa disciplina