Logo Passei Direto
Buscar
Material
páginas com resultados encontrados.
páginas com resultados encontrados.

Prévia do material em texto

CHAPTER 16 599 
 
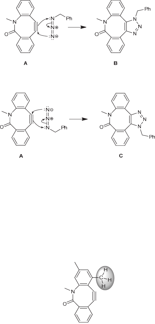
16.78. 
(a) The reaction is a cycloaddition process, so we expect a concerted process. The following curved arrows represent a 
concerted process that would give the product: 
 
 
 
(b) Depending on the relative orientation of the azide and alkyne during the reaction, the following compound can also 
be formed. 
 
 
 
(c) Recall from Chapter 9 that the smallest isolatable cycloalkyne is cyclooctyne, which experiences significant angle 
strain due to the incorporation of the two adjacent sp hybridized carbon atoms (that should have linear geometry) into 
an 8-membered ring. As such, compound A has significant angle strain. We can infer that this strain plays an important 
role in the click reaction, because alkyne D (which is free of this strain) is unreactive under these conditions. This 
angle strain increases the energy of the starting alkyne, thus decreasing the activation energy of the reaction (since it is 
now closer in energy to the transition state). Considering the geometry of the atoms involved in the reaction, the angle 
strain forces the alkyne to have bond angles closer to the angles required in the transition state leading to the sp2 
hybridized carbon atoms in the product. In other words, there is a higher activation energy associated with distorting an 
unstrained alkyne (180°) to an alkene (120°), compared to the analogous conversion of a strained alkyne (

Mais conteúdos dessa disciplina