Logo Passei Direto
Buscar

1 (899)

Material
páginas com resultados encontrados.
páginas com resultados encontrados.

Prévia do material em texto

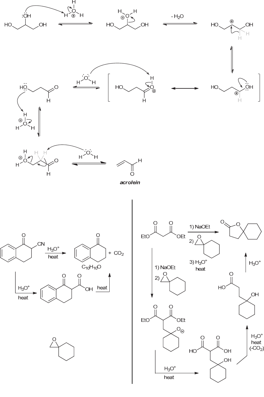
CHAPTER 21 891 
 
because the latter would involve formation of a primary carbocation. Notice that water is the base for the deprotonation 
steps, consistent with acidic conditions (strong bases, such as hydroxide, are not measurably present under these 
conditions). 
 
 
 
21.91. Upon treatment with aqueous acid, the nitrile is 
hydrolyzed to give a -ketoacid, which undergoes 
decarboxylation at elevated temperature to give the 
following ketone: 
 
 
 
21.92. Using the strategy described in the problem 
statement, the desired lactone can be made if we use the 
following epoxide, instead of ethylene oxide: 
 
 
 
The synthesis, as described in the problem statement, is 
shown here (follow the location of the cyclohexyl 
group): 
 
www.MyEbookNiche.eCrater.com

Mais conteúdos dessa disciplina