Logo Passei Direto
Buscar

Ferramentas de estudo

Material
páginas com resultados encontrados.
páginas com resultados encontrados.
left-side-bubbles-backgroundright-side-bubbles-background

Crie sua conta grátis para liberar esse material. 🤩

Já tem uma conta?

Ao continuar, você aceita os Termos de Uso e Política de Privacidade

left-side-bubbles-backgroundright-side-bubbles-background

Crie sua conta grátis para liberar esse material. 🤩

Já tem uma conta?

Ao continuar, você aceita os Termos de Uso e Política de Privacidade

left-side-bubbles-backgroundright-side-bubbles-background

Crie sua conta grátis para liberar esse material. 🤩

Já tem uma conta?

Ao continuar, você aceita os Termos de Uso e Política de Privacidade

left-side-bubbles-backgroundright-side-bubbles-background

Crie sua conta grátis para liberar esse material. 🤩

Já tem uma conta?

Ao continuar, você aceita os Termos de Uso e Política de Privacidade

Prévia do material em texto

Departamento de Química Fundamental
Universidade Federal de Pernambuco
Química Geral 1 – 2009/I – 2a Prova– 07/05/2009 
GABARITO
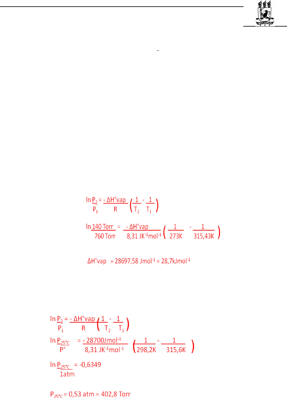
1. O ponto de ebulição normal do iodo-metano (CH3I) é 42,43°C e sua pressão de vapor a 0°C é 
140 Torr. Calcule (a) a entalpia padrão de vaporização do iodo-metano e (b) a sua pressão de 
vapor a 25°C.
R. Sabendo que no ponto normal de ebulição a pressão de vapor do líquido é 1 atm (Pvap = 1 atm= 
1,01 bar) podemos encontrar o valor de ∆H°vap pois conhecemos 2 valores para Pvap e T: 
P1 = 140Torr e T1= 273K 
P2= 760Torr (1 atm) e T2 = (273 + 42,43) = 315,43K
 
 
 (b)
2. Calcule a energia livre da reação I2(g)→2I(g) a 1200K, sabendo que K=6,8. Se em um 
determinado momento, as pressões parciais de I2 e I são 0,13bar e 0,98bar, respectivamente, a 
reação ocorre em qual direção? (Justifique sua resposta).
17,124.19
120011314,8
86ln
lnK logo e 0 equilíbrio no ln
−
−=
°∆
 −−
°∆
−=
°∆
−===∆+°∆=∆
molJrG
KxKJmol
rG),(
RT
rGKQrGQRTrGrG
Para saber a direção da reação podemos:
 
( ) 4,7
)13,0(
298,0
2
2
==




°



°
=
P
IP
P
IP
Q
Como Q > K devemos esperar que o equilíbrio seja descolado no sentido de regenerar os reagentes (formar 
I2)
OU
- Analisar o ∆Gr
17,843
)4,7ln()120011314,8(17,124.19
 ln
−+=∆
×−−+−−=∆
+°∆=∆
JmolrG
KKJmolJmolrG
QRTrGrG
Como ∆Gr >0 a reação não é espontânea. Ou seja, a direção espontânea do sistema é reação 
inversa (regeneração dos reagentes).
3. Uma mistura de 1,1 mmol de SO2 e 2,2mmol de O2 foi colocada em um reator de 250mL e 
aquecida até 500K. Após algum tempo a mistura atingiu o equilíbrio. Considerando a reação 
2SO2(g) + O2(g) 2SO3(g), preveja se ocorrerá a formação de mais SO3 quando o sistema for 
resfriado até 298K. (a 500K, K=2,5 x 1010 e a 298 K, K= 4,0 x 1024)
R. Para saber se haverá a formação de mais SO3 basta analisar os valores das constantes.
Como K é maior a temperatura mais baixa, a esta T a formação de produtos é favorecida. Ou seja, reduzir 
a T de 500K para 298K leva a formação de mais SO3.
4. Uma solução aquosa de C6H5NH3Cl foi preparada dissolvendo-se 7,8g do sal para 350mL de 
solução. Determine a porcentagem de desprotonação do cátion.
Antes de descobrir o pH, precisamos saber a concentração do sal
 
[ ] M
L
gmol
g
V
nClNHHC
gmolClNHHCMM
172,0
35,0
15,129
8,7
356
15,129)356(
=




−
==
−
=
 Em solução, o sal se dissociará conforme:
 C6H5NH3Cl (aq) + H2O(l) C6H5NH3+(aq) + Cl–(aq)
 C6H5NH3+ é um ácido conjugado relativamente forte (originado pela protonação de base fraca), por isso 
reagirá com H2O conforme:
 C6H5NH3+(aq) + H2O(l) C6H5NH2 (aq) + H3O+(aq)
Utilizando uma tabela de equilíbrio, temos:
C6H5NH3+(aq) + H2O(l) C6H5NH2 (aq) H3O+(aq)
Início 0,172 0 0
variação – x + x + x
equilíbrio 0,172 – x x x
Para esta reação
[ ] [ ]
[ ] )172,0(103,2
1
11
5
356
2563
x
xx
M
NHHC
M
NHHC
M
OH
Ka
−
=×=



×


=
−
+
+
Como a Ka é pequeno, aproximamos : [C6H5NH3+]equilíbrio =[C6H5NH3+]inicial = 0,172M
Como % desprotonação é menor que 5%, a aproximação
: [C6H5NH3+]equilíbrio = [C6H5NH3+]inicial = 0,172 – x = 0,172M é válida.
[ ]
%16,1%100
172,0
31099,1%100
356
3
%
31099,12563
31099,1172,05103,25103,2
)172,0(
=×
−×
=×


 +


 +
=
−×==

 +
−×=⇒×−×=⇒−×=
M
M
inicial
NHHC
OH
çãodesprotona
MNHHCOH
xxxx
5. A fluoretação da água potável de uma cidade produz uma concentração de íons fluoreto (F-) 
próxima a 5 x 10-5 molL-1. Se a água da cidade for dura (rica em íons Ca+2), pode ocorrer a 
precipitação de CaF2. Qual a concentração máxima de íons Ca+2 que a água pode ter para que 
não ocorra a precipitação de CaF2.
R. Para saber a concentração máxima de Ca+2 que não causa precipitação do CaF2, devemos analisar o 
equilíbrio (formação ↔ dissolução):
 CaF2(s) + H2O(l) Ca+2(aq) + 2F-(aq)
( ) ( )
( )
[ ] [ ]
[ ] [ ] [ ]
( )
[ ] 122
25
112
11
22
22
106,1 
100,5
100,4
1
 100,4
11
1
 e 
1
 puro) solido ( 1 a 22
2
2
−−+
−
−+
−
−+
−+
×=
×
×
=



⇒×=



×



=




=



==
×
=
−+
−+
LmolCa
M
Ca
M
F
M
CaK
M
Fa
M
Caaa
a
aa
K
PS
FCaCaF
CaF
FCa
PS
Dados: Massa Molar (gmol-1): C=12, O=16, H=1, N=14, Cl=35,5, I= 126,9, S= 32
1 L.atm = 101,325 J R = 8,314 J.K-1.mol-1 = 0,082 L.atm.K-1.mol-1 1 atm = 1,01 bar= 760Torr
Ka (C6H5NH3+) = 2,3 x 10-5; Kb(C6H5NH2) = 4,3 x10-10, Kps(CaF2) = 4,0 x 10-11
∆ = ∆ +0 l nr rG G R T Q ;
+ - 14
3H O OH 1,0 10 ( 298 )wK a K
−   = = ×    ; 2
1 1 2
1 1l n K H
K R T T
   ∆ °
= −      
l o gpX X= −
; ; 
0 l nrG R T K∆ = −
;
a b wK K K= , ( )
n
cK RT K
∆
= 
0 1P bar=

Mais conteúdos dessa disciplina