Logo Passei Direto
Buscar
Material
páginas com resultados encontrados.
páginas com resultados encontrados.
left-side-bubbles-backgroundright-side-bubbles-background

Crie sua conta grátis para liberar esse material. 🤩

Já tem uma conta?

Ao continuar, você aceita os Termos de Uso e Política de Privacidade

left-side-bubbles-backgroundright-side-bubbles-background

Crie sua conta grátis para liberar esse material. 🤩

Já tem uma conta?

Ao continuar, você aceita os Termos de Uso e Política de Privacidade

left-side-bubbles-backgroundright-side-bubbles-background

Crie sua conta grátis para liberar esse material. 🤩

Já tem uma conta?

Ao continuar, você aceita os Termos de Uso e Política de Privacidade

Prévia do material em texto

Obtenção da Ftalimida
4- Resultados e Discussões
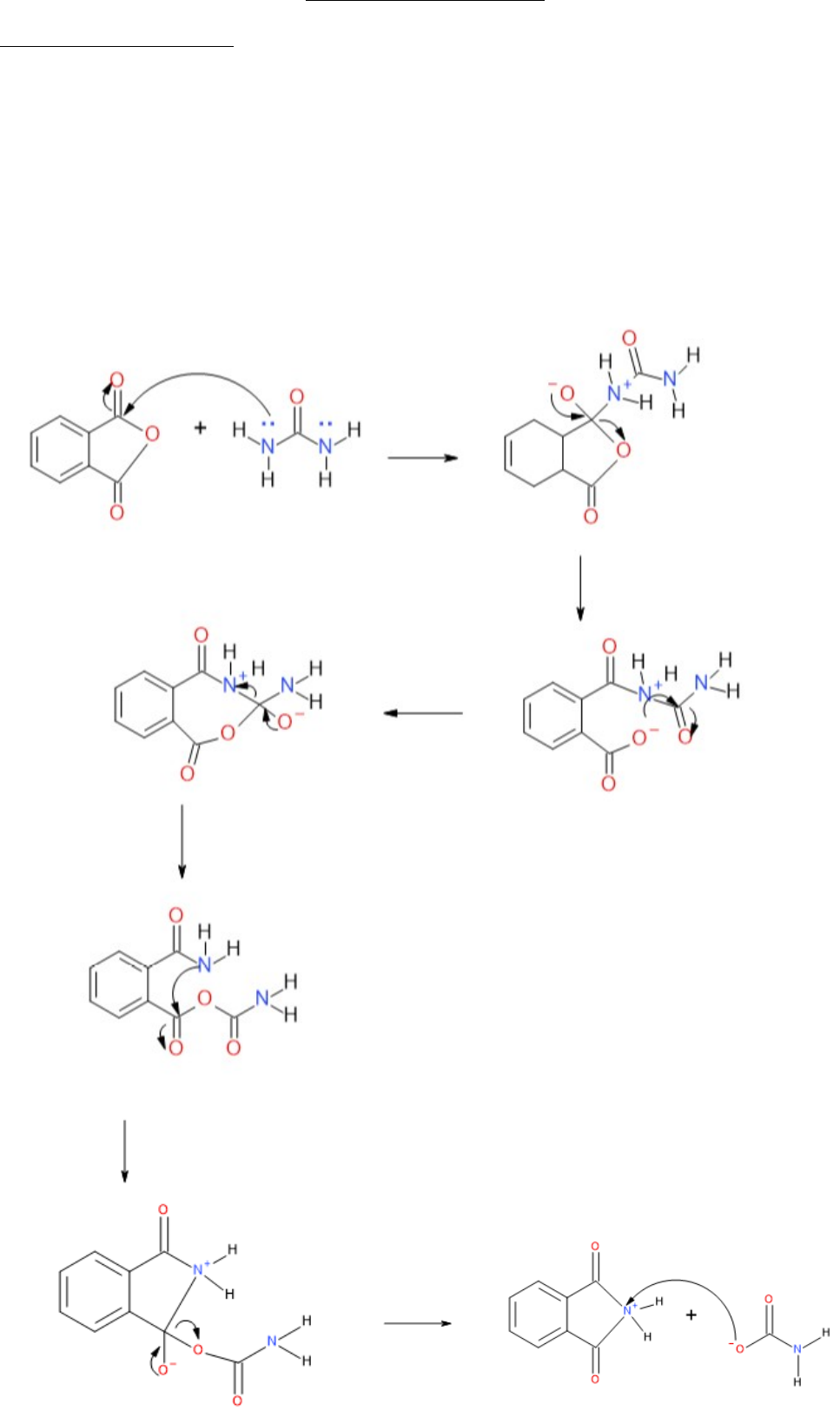
O mecanismo abaixo representa o esquema de intermediários para a síntese da ftalimida. O nitrogênio da molécula de ureia (possui par de elétrons livres) ataca a molécula de anidrido ftálico no carbono carbonílico. Esse carbono carbonílico está em um anel de cinco membros tensionado. Há o rompimento da ligação ∏(pi) e deslocamento da carga negativa para o átomo de oxigênio. Após esta etapa há a geração de um intermediário tetraédrico. A carga negativa no oxigênio da ureia recompõe a duplicidade da ligação c-o. O nitrogênio da ureia tenta reestabelecer o anel de cinco membros com isso eliminando um subproduto carregado negativamente no oxigênio que captura um hidrogênio da molécula de produto e com isso formando a ftalimida, o gás carbônico e a amônia. 
 CO2 NH2
	A ftalimida pode ser sintetizada de forma muito simples, prática e econômica. Sua síntese não necessita de solventes (já que a reação se da entre dois sólidos) por isto é considerada um processo verde. É feita uma mistura de anidrido ftálico com uréia, e esta mistura é transferida para um balão com um orifício na tampa para que os gases provenientes da reação possam ser liberado evitando assim que a pressão aumente no interior do balão e ocorra explosões. 
	No início da prática, misturamos a ureia com o anidrido ftálico em um gral de forma que a cinética da reação fosse favorecida devido ao aumento da área de contato já que estávamos lidando com reagentes sólidos.
Durante o aquecimento, a temperatura deve ser mantida entre a faixa de temperatura que compreende a 150°C - 200°C. Aumentos muito consideráveis além desse limite máximo de temperatura podem superaquecer o sistema gerando acidentes ou até mesmo a carbonização do produto gerado.
	Durante o aquecimento observamos a formação de estalactites de produto nas paredes e na tampa do balão.
	Conforme citado anteriormente, esta reação é considerada um processo verde sendo que o único fator negativo é a liberação de amônia gasosa que pode ser contornado por sistemas de exaustores.
	Quanto ao rendimento da reação, não foi possível realizar o cálculo visto que é necessário que ocorra tempo hábil para a secagem dos cristais. Como esta foi a última prática não foi possível fazer esta medição.
5- Questionário
1) Explique a necessidade deste tipo de vedação.
A tampa do balão de vidro deve ser de vedação frouxa e com uma cortiça furada para que a liberação dos gases formados durante a reação seja possível para que a pressão no interior do balão não aumente de forma a não ocorrer explosões altamente perigosas.
2) O que ocorre com a mistura de sólidos no balão quando o banho de óleo atinge a temperatura de 150°C?
A mistura contida no interior do balão começa a espumar e começa a ocorrer liberação de gases.
4) Quais as utilizações da ftalimida ?
A ftalimida é usada industrialmente para a produção de plásticos e de corantes. Os derivados da ftalimida possuem aspectos biológicos variados, como propriedades analgésicas, hipolipidêmicas e anticonvulsivantes, entre outras como a redução o ácido úrico em camundongos, além de serem bactericidas. 
O derivado da ftalimida mais conhecido é a talidomida, inicialmente usada como antiemético e sedativo para mulheres grávidas, mas que levou sérios defeitos em recém-nascidos e foi banida mundialmente.
+

Mais conteúdos dessa disciplina