Logo Passei Direto
Buscar
Material
páginas com resultados encontrados.
páginas com resultados encontrados.

Prévia do material em texto

CONCEPÇÃO E FORMAÇÃO DO SER HUMANO 
 
TERATOLOGIA: ramo da ciência que estuda as causas, mecanismos e padrões do desenvolvimento anormal 
• Determinados estágios do desenvolvimento (organogênese) são mais vulneráveis 
• 7 a 10% dos defeitos são resultantes de drogas, vírus ou fatores ambientais → é possível prevenir!! 
• No mundo → cerca de 5% dos nascidos vivos apresentam alguma anomalia do desenvolvimento 
• Na América do Norte → mais de 20% das mortes de bebês são por defeitos congênitos 
• No brasil → malformações congênitas assumem papel importante na morbidade e mortalidade infantil → 
37% das admissões hospitalares pediátricas → grande morbimortalidade e alto custo (tratamento contínuo) 
 
→ Agentes teratogênicos: 
• Qualquer substancia, organismo, agente físico ou estado de deficiência que, presentes durante o 
desenvolvimento embrionário, podem produzir uma alteração na estrutura ou função do feto → defeito 
congênito 
• Embrião é mais sensível aos agentes teratogênicos durante o período de diferenciação 
 
Princípios da teratogênese: 
• 3 princípios importantes que influenciam na teratogenicidade de determinado composto → esse composto 
é teratogênico ou não é? 
• Genótipo do embrião, períodos críticos de desenvolvimento e dose do medicamento/composto 
 
→ Genótipo do embrião: 
• Existem diferenças genéticas em resposta ao teratógeno → cada embrião reage de uma forma, podendo 
apresentar defeitos congênitos ou não 
• Genótipo do embrião determina se o agente teratogênico vai prejudicar seu desenvolvimento 
• Ex: fenitoína (teratógeno para tratamento de crises convulsivas) → apenas 5% a 10% dos embriões expostos 
desenvolvem síndrome fetal da hidantoína + 1/3 apresentam defeitos congênitos → mais da metade não é 
afetada 
 
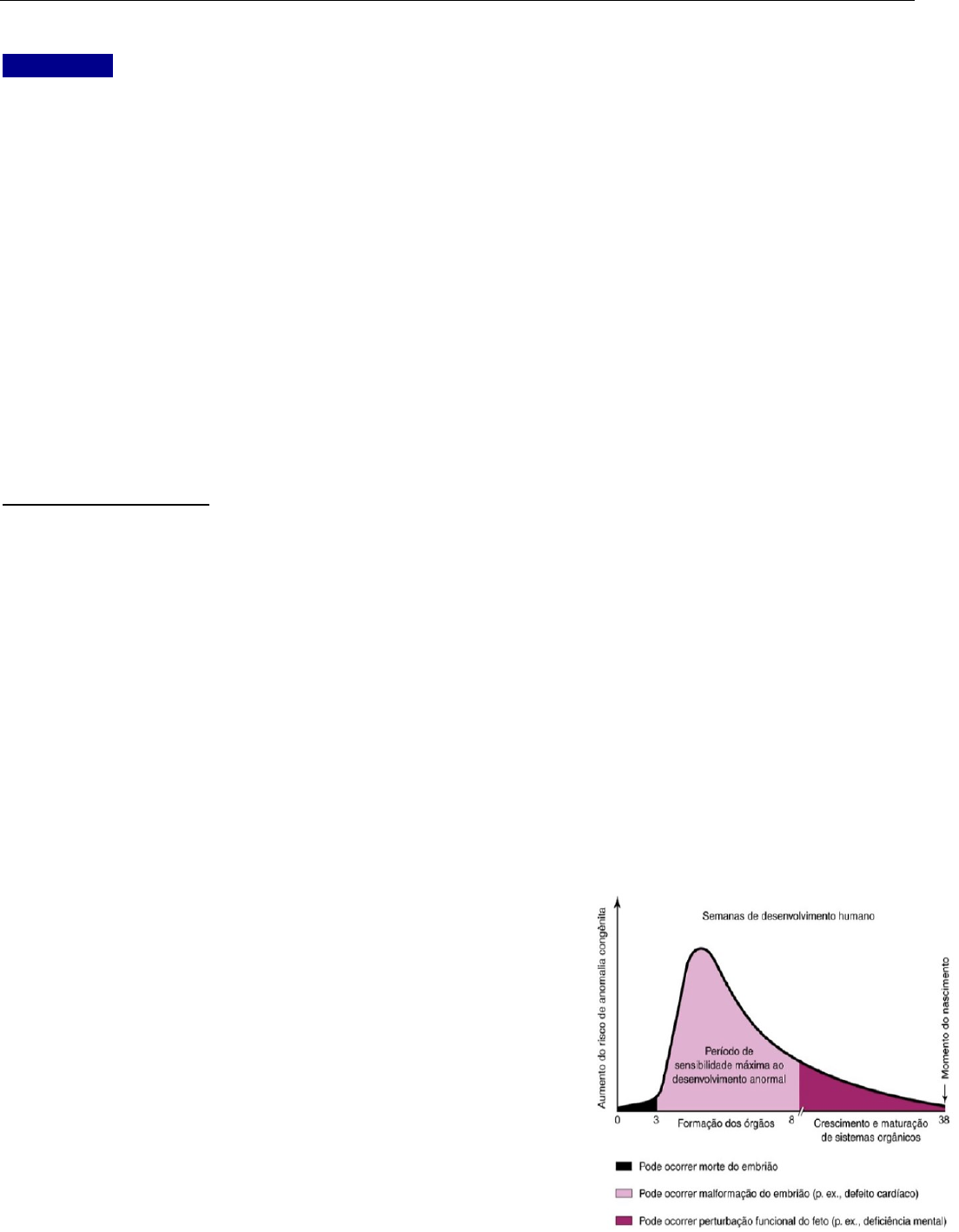
→ Períodos críticos do desenvolvimento: 
• Estágio do desenvolvimento determina quão suscetível o 
embrião está ao teratógeno → cada tecido, órgão e sistema tem 
seu período critico 
• Período mais critico é quando a divisão celular, diferenciação e 
morfogênese estão no auge → até a 8ª semana 
• Teratógenos podem produzir deficiência mental durante o 
período embrionário e fetal → pois o desenvolvimento do 
encéfalo vai da 3ª a 16ª semana, sofrendo diferenciações até o 
nascimento 
• Teratógenos atuando durante as duas primeiras semanas 
causam óbito do embrião → interferem na clivagem do zigoto e 
na Nidaçao → aborto espontâneo 
• Ajuda a identificar a causa de um defeito congênito humano → 
cronologia em embriologia 
 
→ Dose de fármacos/compostos químicos: 
• Relação dose/resposta para os teratógenos 
• Pesquisas em animais → doses usadas em animais para produzir defeitos geralmente são níveis bem mais 
altos que as exposições humanas 
• Quanto maior a exposição durante a gravidez → maior o efeito fenotípico 
 
Causas dos defeitos congênitos: 
• Anomalia congênita é qualquer anormalidade 
estrutural no nascimento → pode ser macro ou 
microscópica, na superfície ou interna do embrião 
• 4 tipos de defeitos congênitos → malformação, 
disrupção, deformação e displasia 
• As causas podem ser de: fatores genéticos (anomalias 
cromossômicas), fatores ambientais (fármacos) → 
podem ser de herança multifatorial, difícil de definir 
• Entre 50% a 60% dos defeitos congênitos → causa 
desconhecida 
 
→ Fatores genéticos: corresponde de 15 a 25% 
• Causa mais importante de defeitos congênitos → 1/3 de todos os defeitos 
• Erros na mitose ou na meiose → aberrações cromossômicas nos zigotos 
• Pessoa com anomalias cromossômicas apresentam fenótipos característicos 
• Anomalias cromossômicas numéricas → provocadas pela não disjunção de cromossomos ou cromátides 
• Anomalias cromossômicas estruturais → quebra cromossômicas → inversão, translocação, deleção, 
duplicação das sequências 
• Mutações novas 
 
→ Fatores ambientais: corresponde a 10% das causas de malformações 
• Teratógenos podem causar alterações do desenvolvimento após exposição 
• Maior suscetibilidade do embrião durante os períodos de diferenciação rápida → até a 8ª semana → 
período organogenético 
• Condições maternas: alcoolismo, diabetes, endocrinopatias, fenilcetonúria, tabagismo, desnutrição 
• Agentes infecciosos: rubéola, toxoplasmose, sífilis, herpes simples, citomegalovírus, varicela-zoster, 
encefalite equina venezuelana, parvo vírus B19 
• Problemas mecânicos: constrição da bolsa amniótica e do cordão umbilical 
• Agentes químicos: drogas, altas doses de radiação ionizantes, hipertermia 
 
SÍNDROME DE TURNER 
• Monossomia do X (45, X) 
• Fenótipo feminino 
• Características sexuais secundárias não se 
desenvolvem em 90% 
• Óvulo fecundado por um espermatozoide 
com cromossomo X ausente 
TRISSOMIA 
• Três cromossomos de um tipo 
• Causa: não disjunção meiótica de 
cromossomos → gameta com 24 cromossomos 
→ zigoto com 47 cromossomos 
• Trissomia do 23 → Síndrome de Down 
• Trissomia do 18 → Síndrome de Edwards 
• Trissomia do 13 → Síndrome de Patau 
Consequências da exposição aos teratógenos: 
• Anomalia congênita: distúrbios do desenvolvimento presente ao nascimento → defeito estrutural, funcional, 
metabólico, comportamental ou hereditário 
• Exemplos: síndromes de Down, lábio leporino (fendas), espinha bífida, cardiopatias, pé torto 
• 4 tipos de anomalias congênitas: malformações, alteração grave, deformação e displasia 
 
→ Malformação: defeito morfológico de um órgão, parte de um órgão ou região mais extensa do corpo 
• Causada por um processo anormal do desenvolvimento → lá no início da embriogênese 
• Pode levar a malformações complexas e múltiplas 
• Exemplos: espinha bífida, cardiopatias 
 
 
→ Alteração grave: também denominada disrupção 
• Defeito morfológico de um órgão, parte dele ou região mais extensa do corpo 
• Causada por falha extrínseca (interferência externa) em um processo originalmente normal 
• Na ausência do fator extrínseco (teratógeno) → o desenvolvimento se desenrolaria normalmente 
 
→ Deformação: formato ou posição anormal de parte do corpo 
• Causada por uma força mecânica que atua durante o desenvolvimento 
• Compressão do saco amniótico 
• Oligoâmnio → pouco líquido amniótico → compressão intrauterina do feto → 
alterações no posicionamento dos pés → pé torto 
 
→ Displasia: organização anormal de células 
• Anormalidade relacionadas a histogênese 
• Não tem causa especifica 
• Frequentemente afeta vários órgãos 
 
 
Agentes teratogênicos: 
• Qualquer agente que possa produzir um efeito congênito (anomalias) ou aumentar a incidência de um 
defeito na população 
 
→ Drogas: 
• Algumas causam graves disrupções do desenvolvimento → talidomida 
• Podem produzir retardo mental, restrição do crescimento ou outras anomalias 
• Em torno de 40 a 90% das gestantes consomem pelo menos uma droga na gestação 
 
→ Agentes químicos: fatores químicos no meio ambiente → poluição e aditivos em alimentos 
• Monóxido de carbono: gás toxico, inodoro e incolor 
◦ Encontrado na combustão de processos industriais, de veículos e fumaça do cigarro 
◦ Alta afinidade com a hemoglobina → prejudica o transporte de oxigênio → hipóxia 
◦ Altas exposições → danos ao SNC do feto (suposição) 
 
• Chumbo: presente em solos contaminados, tintas 
◦ Consegue atravessar a placenta e pode se acumular nos tecidos fetais 
◦ Doses muito altas podem causar abortamento, anomalias fetais, restrição de crescimento, deficiências 
funcionais e atraso no desenvolvimento 
 
• Mercúrio: metal pesado e muito toxico 
◦ Poluente encontrado na água e em alimentos aquáticos, e em pilhas 
◦ Produto neurotóxico → fraqueza, fadiga, perda de visão, coma e morte 
◦ Metil mercúrio → causa atrofia cerebral, convulsões e retardo mental 
◦ Alto consumo de mercúrio durante a gestação → doença de Minamata → paralisia cerebral, 
microcefalia, retardo mental, cegueira 
 
→ Agentes físicos: 
• Radiação externa: passagem das radiaçõespela matéria viva → mudanças moleculares, celulares e teciduais 
em todo o organismo → quanto maior o nível de exposição, maiores os danos 
• Isótopos radioativos: iodo radioativo deve ser evitado → apresenta risco para a tireoide fetal 
 
• Ultrassonografia: efeito térmico e mecânico → ondas mecânicas → transmitidas através da vibração 
molecular → alterações acústicas → chances muito pequenas de acontecer 
◦ Pode provocar aumentos nos movimentos fetais 
◦ Ressonância com os tecidos → aumento da temperatura → efeito térmico 
 
• Ressonância nuclear magnética: exposição a ondas eletromagnéticas não causam dano ao concepto 
 
→ Agentes biológicos: 
• Exposição do feto a microrganismos → pode causar abortamentos, restrição de crescimento, anomalias 
congênitas ou doenças neonatais 
• Agentes virais, bactérias e parasitas → efeitos letais ou no desenvolvimento → inibição mitótica, 
citotoxicidade direta ou necrose 
• Infecções virais: sarampo, caxumba, poliomielite, influenzas A e B, hepatites, febre amarela, dengue 
• Infecções por protozoários: malária, chagas, toxoplasmose 
• Infeções bacterianas: pneumonia, tuberculose, meningite → consequências maternas que podem implicar 
em consequências fetais 
 
 
Fatores maternos: 
• Quando não controladas, algumas doenças podem provocar efeitos no feto 
• Hábitos maternos também prejudicam o desenvolvimento fetal 
 
→ Diabetes mellitus: 
• Quando pouco controlada → associada a altas taxas de abortos espontâneos e incidência de 2 a 4 vezes 
maior de defeitos congênitos 
• Recém nascidos de mães diabetes → são geralmente maiores que o normal 
• Maiores riscos de anomalias encefálicas, defeitos esqueléticos, agenesia sacral e cardiopatias cardíacas 
• Complicações neonatais, síndrome da angustia respiratória e anormalidade do neurodesenvolvimento 
 
→ Tabagismo materno: 
• Causa bem estabelecida de restrição do crescimento intrauterino → baixo peso ao nascimento 
• Estudo indicou que tabagismo no primeiro trimestre aumenta a incidência de defeitos cardíacos do septo AV 
• Parto prematuro é 2x mais incidente 
• Nicotina contrai os vasos sanguíneos uterinos → menor fluxo sanguíneo uterino e menos suprimentos de 
oxigênio e nutrientes para o embrião → prejuízo ao crescimento celular 
• Altos níveis de carboxiemoglobina (monóxido de carbono + hemoglobina) → prejudicam o transporte de O2 
→ hipoxia fetal crônica 
 
→ Álcool: 
• Consumo de álcool no início da gravidez pode alterar o crescimento e a morfogênese do embrião 
• Recém-nascidos de mães alcoólicas crônicas → deficiência de crescimento pré e pós natal, deficiência 
mental, microcefalia, fissuras palpebrais curtas, nariz curto, doenças cardíacas congênitas 
• Até mesmo quantidades baixas de álcool podem causar danos ao feto → prejuízo no neurodesenvolvimento 
→ cognitivo e problemas comportamentais 
 
→ Drogas ilícitas: 
• Maconha → uso nos primeiro 2 meses de gestação → afeta o crescimento fetal e o peso ao nascimento 
• Cocaína → causa descolamento da placenta, aborto espontâneo, prematuridade, microcefalia, infarto 
cerebral, anomalias urogenitais, perturbações neurocomportamentais e anormalidade neurológicas 
• Metanfetamina: fetos pequeno para a idade gestacional e alterações neurocomportamentais 
 
→ Sexualidade: 
• Pode manter relações sexuais? Pode 
• Gestantes devem tomar cuidado com as doenças sexualmente transmissíveis → mais do que nunca ne?! 
• Muitas ISTs são responsáveis por danos neurológicos ao feto → sífilis, herpes 
• Evitar ter relações sexuais desprotegidas → uso de preservativo mesmo que casada! 
 
→ Nutrição e suplementação 
• A mãe deve se comprometer com sua nutrição → alimentar-se como uma gestante 
• Tomar os suplementos vitamínicos como prescrito

Mais conteúdos dessa disciplina