Logo Passei Direto
Buscar
Material
páginas com resultados encontrados.
páginas com resultados encontrados.

Prévia do material em texto

Ana Laura Octávio - TXXII 
 
BIOQUÍMICA DOS NEUROTRANSMISSORES GABAÉRGICOS 
 
INTRODUÇÃO 
 
- Os neurotransmissores gabaérgicos são os principais aminoácidos neuroativos 
inibitórios do SNC. 
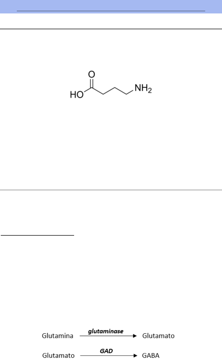
- O neurotransmissor GABA (ácido γ-aminobutírico) é um aminoácido com quatro 
carbonos, com a C-γ ligado a um grupo amina. 
 
 
 
 
 
- Ele produz uma resposta inibitória através de uma alteração na condutância de um ou 
mais canais iônicos seletivos. 
- Os mamíferos expressam receptores de GABA, os quais diminuem a excitabilidade 
neuronal através de vários tipos de mecanismos. 
- De forma resumida, um dos mecanismos pode ser descrito como abertura de canais 
de K+ e de Cl-, a qual deixa o potássio sair e o cloreto entrar. Com isso, haverá uma 
hiperpolarização da membrana da célula (e diminuição da resistência da membrana). 
 
BIOSSÍNTESE DE GABA 
 
- A biossíntese de GABA ocorre no citoplasma dos neurônios e tem como moléculas 
percursoras a glutamina e o glutamato (aminoácido não essencial). Por essa razão, é 
essencial a disponibilidade de glutamato e glutamina para o neurônio produtor GABA. 
 
SEQUÊNCIA DE EVENTOS 
- Moléculas de glutamina entram no neurônio gabaérgico junto com íons Na+ através de 
um transporte simporte (dois componentes transportados para um mesmo lado da 
membrana) realizado pelo transportador SAT1. 
- No citoplasma do neurônio, a glutamina é convertida glutamato, por meio da ação da 
enzima glutaminase. 
- O glutamato serve de substrato para uma outra enzima, a descarboxilase de ácido 
glutâmico (GAD). Esta converte, finalmente, glutamato em GABA, liberando moléculas 
de CO2. 
 
 
 
 
Ana Laura Octávio - TXXII 
 
 
OBS.: Existe outra via para a biossíntese de GABA. Nela, a molécula percursora é o α-
cetoglutarato, proveniente do ciclo de Krebs e a sequência de eventos se dá da seguinte 
maneira: 
 
 
 
 
 
GABA – ARMAZENAMENTO E LIBERAÇÃO 
 
- O GABA é sintetizado, a partir de glutamato, no citoplasma do neurônio. Após isso, é 
transportado no interior de vesículas secretoras para armazenamento e liberação. 
- Essas vesículas secretoras estão presentes na porção terminal dos axônios dos 
neurônios. 
- A entrada de GABA nas vesículas secretoras necessita de duas bombas moleculares 
separadas para acontecer: 
▪ Uma ATPase de prótons para concentrar certa quantidade de íons H+ na vesícula 
(entrada de íons H+ contra o gradiente de concentração: transporte ativo). 
▪ Um antiportador de prótons, chamado VGAT (transportador vesicular associado 
a membrana) que permite a saída dos íons H+ para fora da vesícula (a favor do 
gradiente de concentração) enquanto, ao mesmo tempo, efetua o transporte de 
GABA para dentro da vesícula, contra seu gradiente de concentração. 
OBS.: A proteína transmembrana é classificada como antiporte, uma vez que 
transporta duas diferentes moléculas para lados opostos da membrana. 
- Com as moléculas de GABA no interior das vesículas de secreção, a célula nervosa 
precisa receber um estímulo (P.A.) para fundir a vesícula em sua membrana e, assim, 
liberar a DA na fenda sináptica. 
 
SEQUÊNCIA DE EVENTOS 
- O neurônio recebe uma P.A., o que faz com que canais de Na+ se abram, despolarizando 
a membrana da célula. 
- Essa despolarização, desencadeia a abertura de canais de íons Ca2+ voltagem 
dependentes, presentes na membrana do neurônio. 
- Esses íons, quando presente no interior no neurônio, estimulam a liberação dos NT na 
fenda sináptica, uma vez que ativam proteínas snare, as quais fundem as duas 
membranas (a da vesícula com a do neurônio). 
- Realizado todos esses processos, o GABA é então liberada por exocitose. 
 
OBS.: ETAPAS DA NEUROTRNASMISSÃO 
 
Ana Laura Octávio - TXXII 
 
GABA – DESTINOS PÓS LIBERAÇÃO 
 
O neurotransmissor GABA, após ser liberado na fenda sináptica e exercer sua função, 
pode ter 3 destinos diferentes: 
✓ Difundir-se para fora da fenda sináptica (p.ex. ligar-se ao receptor pós-sináptico). 
✓ Ser recaptado pela célula pré-sináptica. 
✓ Ser metabolizado por enzimas especificas situadas na fenda sináptica. 
 
I) RECAPTAÇÃO PELA CÉLULA PRÉ-SINÁPTICA 
- A maior parte do GABA liberado na fenda sináptica é transportado de volta a célula 
pré-sináptica através de uma bomba de recaptação, presente na membrana celular do 
neurônio, denominada GAT (transportador de GABA). 
- A GAT realiza um transporte simporte de GABA e íons Na+. 
- Como a recaptação da envolve o transporte do neurotransmissor contra o seu 
gradiente de concentração, esse processo requer uma fonte de energia. Por isso, o GAT 
acopla a recaptação de GABA com o cotransporte de Na+ ao longo de seu gradiente de 
concentração na célula. 
OBS.: Como o gradiente de Na+ é mantido pela bomba de Na+/K+-ATPase, a recaptação 
de GABA depende indiretamente da presença de uma bomba de Na+/K+ funcional. 
 
- Destinos do GABA após recaptação: 
▪ RECICLAGEM – o GABA é internalizado novamente nas vesículas de secreção. 
▪ METABOLIZAÇÃO – por enzimas específicas localizadas no citoplasma do 
neurônio. 
 
II) METABOLIZAÇÃO POR ENZIMAS ESPECÍFICAS 
- O término da ação do GABA na sinapse depende de sua remoção do espaço 
extracelular. 
- Os neurônios e a glia captam o GABA através de transportadores de GABA (GAT) 
específicos. 
- No interior das células, a enzima mitocondrial amplamente distribuída, a GABA-
transaminase (GABA-T), catalisa a conversão do GABA em semialdeído succínico (SSA). 
- O semialdeído succínico (SSA) é oxidado em ácido succínico pela SSA desidrogenase 
(SSADH), entrando, a seguir, no ciclo de Krebs, onde é transformado em α – 
cetoglutarato. 
- A seguir, a GABA-T regenera glutamato a partir de α – cetoglutarato, através de uma 
reação anaplerotica. Esse α – cetoglutarato pode contribuir, posteriormente, na síntese 
de GABA. 
 
OBS.: Percebe-se que GABA-T participa de várias etapas do metabolismo do GABA. Essa 
enzima responde a maior quantidade de substrato, sendo, assim, responsável por 
manter a homeostase/equilíbrio entre esses substratos envolvidos. 
Ana Laura Octávio - TXXII 
 
Por exemplo, quando há uma grande quantidade de GABA, consequentemente, a 
quantidade de semialdeído succínico será baixa. Dessa forma, a GABA-T é responsável 
por equilibrar esse sistema, metabolizando esse GABA em excesso, resultando, nesse 
caso, em um aumento da quantidade de semialdeído succínico. 
 
 
GABA Semi-aldeído succínico (SSA) Ácido succínico 
 
 
 
 
 
 
 
 
GABA – RECEPTORES 
 
- Existem receptores ionotrópicos e metabotrópicos para o GABA. 
 
- RECEPTORES IONOTRÓPICOS: 
▪ GABAA 
▪ GABAC 
 
- RECEPTORES METABOTRÓPICOS: 
▪ GABAB – receptor acoplado a proteína G: 
o PÓS-SINÁPTICO – proteína Gs associada a abertura de canais de K+ 
(hiperpolarização). 
o PRÉ-SINÁPTICO (autorreceptores → modulação de sinal) – proteína Gi 
associada a inibição de proteínas efetoras (impede a exocitose de GABA). 
SSADH GABA-T 
α – cetoglutarato 
 
Glutamato 
GABA-T 
CICLO DE 
KREBS 
GAD 
Ambos fazem parte da constituição dos canais de Cl-. 
Desencadeiam o influxo de Cl- (hiperpolarização).

Mais conteúdos dessa disciplina