Logo Passei Direto
Material
Study with thousands of resources!

Text Material Preview

σadm,solo = 5,5 Kgf/cm²
fck = 30 MPa
fy = 500 MPa
A = 1500 cm
B = 1000 cm
ap = 800 cm
bp = 500 cm
h = 300 cm
h0 = 300 cm
c = 5 cm
γf = 1,4
γS = 1,15
Kmaj = 1,05
eA = 0,23 cm
eB = 0,082696 cm
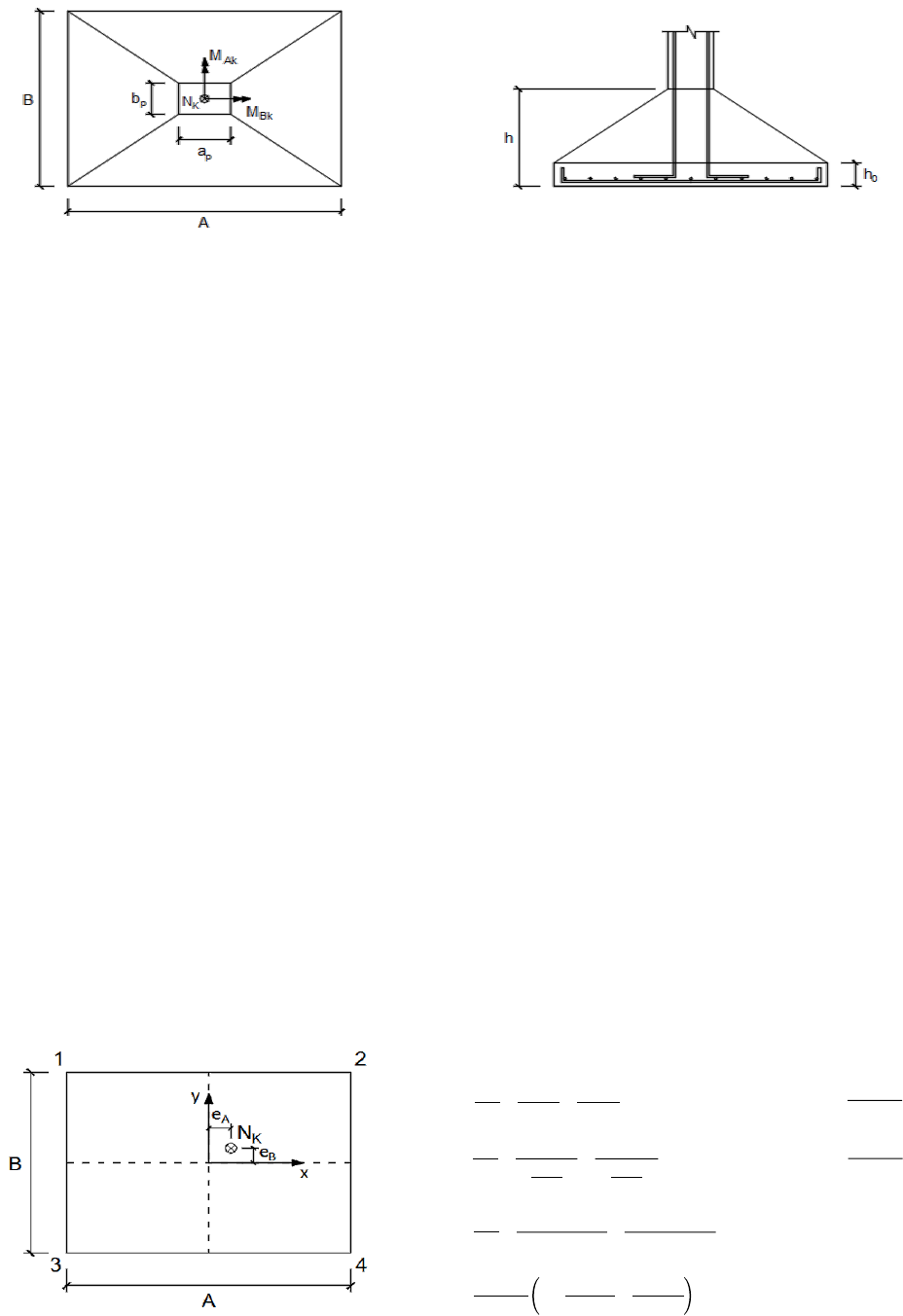
As tensões que a sapata aplica no solo são provenientes da carga axial Nk e dos momentos fletores MAk e MBk. Elas podem ser obtidas para cada ponto do solo 
em contato com a base da sapata através da fórmula que será apresentada a seguir:
OBS.: O Nk na fórmula que permite calcular a tensão no solo foi majorado pelo coeficiente Kmaj para que o peso da sapata e do solo acima da sapata sejam 
computados
MBk = 1589 kNcm
(Altura da extremidade da sapata)
(Cobrimento da armadura)
 (Coeficiente utilizado para majorar os esforços e também para minorar a resistência do concreto)
 (Coeficiente utilizado para minorar a resistência do aço)
OBS.: O valor desses coeficientes foram obtidos nos itens 11.7 e 12.4.1 da NBR 6118:2014
 (Coeficiente para majorar a carga Nk com o objetivo de computar o peso próprio da sapata e do solo acima dela)
• Cálculo das tensões no solo:
Sapata SP1 (300x220) - Isolada com carga excêntrica
Nk = 18300 kN (Valor característico da carga vertical que o pilar aplica na sapata)
OBS.: A direção e sentido do vetor momento fletor são obtidos pela regra da mão direita. Se ele possuir sentido contrário ao indicado na ilustração acima seu 
valor será negativo 
(Menor dimensão da base da sapata)
(Dimensão da seção transversal do pilar paralela ao lado A)
(Dimensão da seção transversal do pilar paralela ao lado B)
(Altura da sapata)
• Coeficientes de ponderação:
• Propriedade dos materiais:
• Carregamento:
• Propriedades geométricas da sapata:
(Maior dimensão da base da sapata)
4379 kNcmMAk = (Momento fletor solicitante característico que tende a girar a sapata em torno de um eixo perpendicular ao lado A)
(Momento fletor solicitante característico que tende a girar a sapata em torno de um eixo perpendicular ao lado B)
(Tensão admissível do solo)
(Resistência característica do concreto à compressão)
(Tensão de escoamento do aço)
𝜎 = 𝜎𝑁 ± 𝜎𝑀𝐴𝑘 ± 𝜎𝑀𝐵𝑘
𝜎 =
𝑁𝑘
𝐴. 𝐵
±
𝑀𝐴𝑘 . 𝑥
𝐼𝑦
±
𝑀𝐵𝑘 . 𝑦
𝐼𝑥
𝜎 =
𝑁𝑘
𝐴. 𝐵
±
(𝑁𝑘 .𝑒𝐴). 𝑥
𝐵. 𝐴³
12
±
(𝑁𝑘 .𝑒𝐵). 𝑦
𝐴. 𝐵³
12
𝜎 =
𝑁𝑘
𝐴. 𝐵
±
12 . (𝑁𝑘 .𝑒𝐴) . 𝑥
𝐵. 𝐴³
±
12 . (𝑁𝑘 .𝑒𝐵) . 𝑦
𝐴. 𝐵³
𝜎 =
𝐾𝑚𝑎𝑗. 𝑁𝑘
𝐴. 𝐵
1 ±
12. 𝑒𝐴. 𝑥
𝐴²
±
12. 𝑒𝐵. 𝑦
𝐵²
𝑒𝐴 =
𝑀𝐴𝑘
𝐾𝑚𝑎𝑗. 𝑁𝑘
𝑒𝐵 =
𝑀𝐵𝑘
𝐾𝑚𝑎𝑗. 𝑁𝑘
Se
Se , e a fórmula para calcular a tensão nos vértices irá depender do sinal dos momentos MAk e MBk:
(Tensão na base da sapata ao longo da aresta de 
lado B provocada pela carga Nk e pelo momento 
fletor MAk)
σN = Tensão devido a carga axial Nk
σMAk = Tensão devido ao momento fletor MAk
σMBk = Tensão devido ao momento fletor MBk
σ = Tensão no ponto de coordenadas x e y na base da sapata Iy = Momento de inércia em torno do eixo y
Ix = Momento de inércia em torno do eixo x
eA = Excentricidade da carga Nk na direção do lado A (Eixo x)
eB = Excentricidade da carga Nk na direção do lado B (Eixo y)
Procedendo de forma análoga obtem-se a fórmula para calcular σmáx,B
(Tensão na base da sapata ao longo da aresta de 
lado A provocada pela carga Nk e pelo momento 
fletor MBk)
Com o que foi apresentado até o momento já é possível calcular a tensão nos vértices da base da sapata. Para isso, é preciso verificar se a base da sapata está 
totalmente ou parcialmente comprimida
OBS.: Para garantir a validade das fórmulas de σmáx,A e σmáx,B a ação em conjunto da carga Nk com o momento fletor MAk ou MBk deve produzir compressão 
em pelo menos metade da base da sapata. Entretanto, de acordo com a NBR 6122:2019 deve ser garantido que pelo menos 2/3 da área da base da sapata 
esteja comprimida
(Condição para que Nk e MAk ou Nk e MBk, respectivamente, comprima pelo menos 2/3 da base)
OBS.: O sinal ± na fórmula para o cálculo da tensão indica que as tensões geradas pelos momentos fletores podem ser de compressão (Positiva) ou de tração 
(Negativa). Nos pontos em que σ é negativo, a base da sapata está "desgrudada" do solo
Outra condição para que exista o equilíbrio é a de que a carga Nk possua a mesma direção, a 
mesma intensidade e sentido aposto ao de R
(Condição para que toda a base da sapata 
esteja comprimida)
De acordo com a NBR 6122:2019, o dimensionamento geotécnico de uma fundação rasa solicitada por carregamento excêntrico deve ser feito considerando 
que o solo é um elemento não resistente à tração. Portanto, a fórmula para o cálculo das tensões apresentada anteriormente será utilizada apenas quando 
toda a base da sapata estiver comprimida, ou seja, quando as excentricidades estiverem dentro do núcleo central de inércia
Quando parte da base da sapata estiver tracionada ("desgrudada" do solo), a tensão nos vértices da sapata será calculada conforme procedimento 
apresentado a seguir:
Para MAk>0 e MBk>0:
Para que exista o equílibrio na sapata, a carga Nk deve estar aplicada no mesmo ponto da 
reação de apoio do solo (R). Portanto, é possível constatar da figura ao lado que A/2 - eA = c/3
 a tensão nos vértices deverá ser calculada com a fórmula
𝑒𝐴
𝐴
+
𝑒𝐵
𝐵
≤
1
6
𝑐 = 3.
𝐴
2
− 𝑒𝐴
𝐴
2
− 𝑒𝐴 =
𝑐
3
𝑁𝑘 = R
𝑁𝑘 =
𝜎𝑚á𝑥,𝐴 . 𝑐 . 𝐵
2
=
𝜎𝑚á𝑥,𝐴 . 3.
𝐴
2 − 𝑒𝐴 . 𝐵
2
𝜎𝑚á𝑥,𝐴 =
2 .𝑁𝑘
3.
𝐴
2
− 𝑒𝐴 . 𝐵
𝜎𝑚á𝑥,𝐵 =
2 .𝑁𝑘
3.
𝐵
2 − 𝑒𝐵 . 𝐴
𝑒𝐴
𝐴
+
𝑒𝐵
𝐵
≤
1
6
𝜎 =
𝐾𝑚𝑎𝑗. 𝑁𝑘
𝐴. 𝐵
1 ±
12. 𝑒𝐴. 𝑥
𝐴²
±
12. 𝑒𝐵. 𝑦
𝐵²
𝑒𝐴
𝐴
+
𝑒𝐵
𝐵
>
1
6
𝑒𝐴
𝐴
>
1
6
𝑒𝐵
𝐵
>
1
6
𝑒𝐴 ≤
5. 𝐴
18
ou 𝑒𝐵 ≤
5. 𝐵
18
𝜎1 =
𝐾𝑚𝑎𝑗. 𝑁𝑘
𝐴. 𝐵
1 −
6. 𝑒𝐴
𝐴
−
6. 𝑒𝐵
𝐵
𝜎2 =
2 .𝐾𝑚𝑎𝑗. 𝑁𝑘
3.
𝐴
2 − 𝑒𝐴 . 𝐵
−
𝐾𝑚𝑎𝑗. 𝑁𝑘
𝐴. 𝐵
6. 𝑒𝐵
𝐵
𝜎3 =
2 .𝐾𝑚𝑎𝑗. 𝑁𝑘
3.
𝐵
2 − 𝑒𝐵 . 𝐴
−
𝐾𝑚𝑎𝑗. 𝑁𝑘
𝐴. 𝐵
6. 𝑒𝐴
𝐴
𝜎4 =
2 .𝐾𝑚𝑎𝑗. 𝑁𝑘
3.
𝐴
2
− 𝑒𝐴 . 𝐵
+
2 .𝐾𝑚𝑎𝑗. 𝑁𝑘
3.
𝐵
2 − 𝑒𝐵 . 𝐴
Se 
Se a fórmula para calcular a tensão nos vértices irá depender do sinal dos momentos MAk e MBk: , e
Para MAk0 e MBk0:
Para MAk>0 e MBk0:
 , e a fórmula para calcular a tensão nos vértices irá depender do sinal dos momentos MAk e MBk:
Para MAk>0 e MBk>0:
𝑒𝐴
𝐴
+
𝑒𝐵
𝐵
>
1
6
𝑒𝐴
𝐴
>
1
6
𝑒𝐵
𝐵
≤
1
6
𝑒𝐴
𝐴
+
𝑒𝐵
𝐵
>
1
6
𝑒𝐴
𝐴
≤
1
6
𝑒𝐵
𝐵
>
1
6
𝜎1 =
2 . 𝐾𝑚𝑎𝑗. 𝑁𝑘
3.
𝐴
2
− 𝑒𝐴 . 𝐵
+
2 .𝐾𝑚𝑎𝑗. 𝑁𝑘
3.
𝐵
2 − 𝑒𝐵 . 𝐴
𝜎2 =
2 .𝐾𝑚𝑎𝑗. 𝑁𝑘
3.
𝐵
2
− 𝑒𝐵 . 𝐴
−
𝐾𝑚𝑎𝑗. 𝑁𝑘
𝐴. 𝐵
6. 𝑒𝐴
𝐴
𝜎3 =
2 .𝐾𝑚𝑎𝑗. 𝑁𝑘
3.
𝐴
2 − 𝑒𝐴 . 𝐵
−
𝐾𝑚𝑎𝑗. 𝑁𝑘
𝐴. 𝐵
6. 𝑒𝐵
𝐵 𝜎4 =
𝐾𝑚𝑎𝑗. 𝑁𝑘
𝐴. 𝐵
1 −
6. 𝑒𝐴
𝐴
−
6. 𝑒𝐵
𝐵
𝜎1 =
2 .𝐾𝑚𝑎𝑗. 𝑁𝑘
3.
𝐵
2
− 𝑒𝐵 . 𝐴
−
𝐾𝑚𝑎𝑗. 𝑁𝑘
𝐴. 𝐵
6. 𝑒𝐴
𝐴
𝜎2 =
2 .𝐾𝑚𝑎𝑗. 𝑁𝑘
3.
𝐴
2
− 𝑒𝐴 . 𝐵
+
2 .𝐾𝑚𝑎𝑗. 𝑁𝑘
3.
𝐵
2 − 𝑒𝐵 . 𝐴
𝜎3 =
𝐾𝑚𝑎𝑗. 𝑁𝑘
𝐴. 𝐵
1 −
6. 𝑒𝐴
𝐴
−
6. 𝑒𝐵
𝐵
𝜎4 =
2 .𝐾𝑚𝑎𝑗. 𝑁𝑘
3.
𝐴
2
− 𝑒𝐴 . 𝐵
−
𝐾𝑚𝑎𝑗. 𝑁𝑘
𝐴. 𝐵
6. 𝑒𝐵
𝐵
𝜎1 =
2 .𝐾𝑚𝑎𝑗. 𝑁𝑘
3.
𝐴
2
− 𝑒𝐴 . 𝐵
−
𝐾𝑚𝑎𝑗. 𝑁𝑘
𝐴. 𝐵
6. 𝑒𝐵
𝐵
𝜎2 =
𝐾𝑚𝑎𝑗. 𝑁𝑘
𝐴. 𝐵
1 −
6. 𝑒𝐴
𝐴
−
6. 𝑒𝐵
𝐵
𝜎3 =
2 .𝐾𝑚𝑎𝑗. 𝑁𝑘
3.
𝐴
2 − 𝑒𝐴 . 𝐵
+
2 .𝐾𝑚𝑎𝑗. 𝑁𝑘
3.
𝐵
2
− 𝑒𝐵 . 𝐴
𝜎4 =
2 .𝐾𝑚𝑎𝑗. 𝑁𝑘
3.
𝐵
2
− 𝑒𝐵 . 𝐴
−
𝐾𝑚𝑎𝑗. 𝑁𝑘
𝐴. 𝐵
6. 𝑒𝐴
𝐴
𝜎1 =
𝐾𝑚𝑎𝑗. 𝑁𝑘
𝐴. 𝐵
1 −
6. 𝑒𝐴
𝐴
−
6. 𝑒𝐵
𝐵
𝜎2 =
2 .𝐾𝑚𝑎𝑗. 𝑁𝑘
3.
𝐴
2 − 𝑒𝐴 . 𝐵
−
𝐾𝑚𝑎𝑗. 𝑁𝑘
𝐴. 𝐵
6. 𝑒𝐵
𝐵
𝜎3 =
𝐾𝑚𝑎𝑗. 𝑁𝑘
𝐴. 𝐵
1 −
6. 𝑒𝐴
𝐴
+
6. 𝑒𝐵
𝐵
𝜎4 =
2 .𝐾𝑚𝑎𝑗. 𝑁𝑘
3.
𝐴
2
− 𝑒𝐴 . 𝐵
+
𝐾𝑚𝑎𝑗. 𝑁𝑘
𝐴. 𝐵
6. 𝑒𝐵
𝐵
𝜎1 =
2 .𝐾𝑚𝑎𝑗. 𝑁𝑘
3.
𝐴
2
− 𝑒𝐴 . 𝐵
+
𝐾𝑚𝑎𝑗. 𝑁𝑘
𝐴. 𝐵
6. 𝑒𝐵
𝐵
𝜎2 =
𝐾𝑚𝑎𝑗. 𝑁𝑘
𝐴. 𝐵
1 −
6. 𝑒𝐴
𝐴
+
6. 𝑒𝐵
𝐵
𝜎3 =
2 .𝐾𝑚𝑎𝑗. 𝑁𝑘
3.
𝐴
2
− 𝑒𝐴 . 𝐵
−
𝐾𝑚𝑎𝑗. 𝑁𝑘
𝐴. 𝐵
6. 𝑒𝐵
𝐵 𝜎4 =𝐾𝑚𝑎𝑗. 𝑁𝑘
𝐴. 𝐵
1 −
6. 𝑒𝐴
𝐴
−
6. 𝑒𝐵
𝐵
𝜎1 =
𝐾𝑚𝑎𝑗. 𝑁𝑘
𝐴. 𝐵
1 −
6. 𝑒𝐴
𝐴
+
6. 𝑒𝐵
𝐵
𝜎2 =
2 .𝐾𝑚𝑎𝑗. 𝑁𝑘
3.
𝐴
2
− 𝑒𝐴 . 𝐵
+
𝐾𝑚𝑎𝑗. 𝑁𝑘
𝐴. 𝐵
6. 𝑒𝐵
𝐵
𝜎3 =
𝐾𝑚𝑎𝑗. 𝑁𝑘
𝐴. 𝐵
1 −
6. 𝑒𝐴
𝐴
−
6. 𝑒𝐵
𝐵
𝜎4 =
2 .𝐾𝑚𝑎𝑗. 𝑁𝑘
3.
𝐴
2 − 𝑒𝐴 . 𝐵
−
𝐾𝑚𝑎𝑗. 𝑁𝑘
𝐴. 𝐵
6. 𝑒𝐵
𝐵
𝜎1 =
2 .𝐾𝑚𝑎𝑗. 𝑁𝑘
3.
𝐴
2
− 𝑒𝐴 . 𝐵
−
𝐾𝑚𝑎𝑗. 𝑁𝑘
𝐴. 𝐵
6. 𝑒𝐵
𝐵
𝜎2 =
𝐾𝑚𝑎𝑗. 𝑁𝑘
𝐴. 𝐵
1 −
6. 𝑒𝐴
𝐴
−
6. 𝑒𝐵
𝐵
𝜎3 =
2 .𝐾𝑚𝑎𝑗. 𝑁𝑘
3.
𝐴
2
− 𝑒𝐴 . 𝐵
+
𝐾𝑚𝑎𝑗. 𝑁𝑘
𝐴. 𝐵
6. 𝑒𝐵
𝐵 𝜎4 =
𝐾𝑚𝑎𝑗. 𝑁𝑘
𝐴. 𝐵
1 −
6. 𝑒𝐴
𝐴
+
6. 𝑒𝐵
𝐵
Se 
Para MAk>0 e MBk>0:
Para MAk0 e MBk0:
 , e a fórmula para calcular a tensão nos vértices irá depender do sinal dos momentos MAk e MBk:
Para MAk>0 e MBk>0:
Para MAk0 e MBk
1
6
𝑒𝐴
𝐴
≤
1
6
𝑒𝐵
𝐵
≤
1
6
𝜎1 =
𝐾𝑚𝑎𝑗. 𝑁𝑘
𝐴. 𝐵
1 −
6. 𝑒𝐴
𝐴
−
6. 𝑒𝐵
𝐵
𝜎2 =
𝐾𝑚𝑎𝑗. 𝑁𝑘
𝐴. 𝐵
1 +
6. 𝑒𝐴
𝐴
−
6. 𝑒𝐵
𝐵
𝜎3 =
2 .𝐾𝑚𝑎𝑗. 𝑁𝑘
3.
𝐵
2 − 𝑒𝐵 . 𝐴
−
𝐾𝑚𝑎𝑗. 𝑁𝑘
𝐴. 𝐵
6. 𝑒𝐴
𝐴
𝜎4 =
2 .𝐾𝑚𝑎𝑗. 𝑁𝑘
3.
𝐵
2 − 𝑒𝐵 . 𝐴
+
𝐾𝑚𝑎𝑗. 𝑁𝑘
𝐴. 𝐵
6. 𝑒𝐴
𝐴
𝜎1 =
2 .𝐾𝑚𝑎𝑗. 𝑁𝑘
3.
𝐵
2 − 𝑒𝐵 . 𝐴
+
𝐾𝑚𝑎𝑗. 𝑁𝑘
𝐴. 𝐵
6. 𝑒𝐴
𝐴
𝜎2 =
2 .𝐾𝑚𝑎𝑗. 𝑁𝑘
3.
𝐵
2
− 𝑒𝐵 . 𝐴
−
𝐾𝑚𝑎𝑗. 𝑁𝑘
𝐴. 𝐵
6. 𝑒𝐴
𝐴
𝜎3 =
𝐾𝑚𝑎𝑗. 𝑁𝑘
𝐴. 𝐵
1 +
6. 𝑒𝐴
𝐴
−
6. 𝑒𝐵
𝐵
𝜎4 =
𝐾𝑚𝑎𝑗. 𝑁𝑘
𝐴. 𝐵
1 −
6. 𝑒𝐴
𝐴
−
6. 𝑒𝐵
𝐵
𝜎1 =
2 .𝐾𝑚𝑎𝑗. 𝑁𝑘
3.
𝐵
2
− 𝑒𝐵 . 𝐴
−
𝐾𝑚𝑎𝑗. 𝑁𝑘
𝐴. 𝐵
6. 𝑒𝐴
𝐴
𝜎2 =
2 .𝐾𝑚𝑎𝑗. 𝑁𝑘
3.
𝐵
2 − 𝑒𝐵 . 𝐴
+
𝐾𝑚𝑎𝑗. 𝑁𝑘
𝐴. 𝐵
6. 𝑒𝐴
𝐴
𝜎3 =
𝐾𝑚𝑎𝑗. 𝑁𝑘
𝐴. 𝐵
1 −
6. 𝑒𝐴
𝐴
−
6. 𝑒𝐵
𝐵
𝜎4 =
𝐾𝑚𝑎𝑗. 𝑁𝑘
𝐴. 𝐵
1 +
6. 𝑒𝐴
𝐴
−
6. 𝑒𝐵
𝐵
𝜎1 =
𝐾𝑚𝑎𝑗. 𝑁𝑘
𝐴. 𝐵
1 +
6. 𝑒𝐴
𝐴
−
6. 𝑒𝐵
𝐵
𝜎2 =
𝐾𝑚𝑎𝑗. 𝑁𝑘
𝐴. 𝐵
1 −
6. 𝑒𝐴
𝐴
−
6. 𝑒𝐵
𝐵
𝜎3 =
2 .𝐾𝑚𝑎𝑗. 𝑁𝑘
3.
𝐵
2 − 𝑒𝐵 . 𝐴
+
𝐾𝑚𝑎𝑗. 𝑁𝑘
𝐴. 𝐵
6. 𝑒𝐴
𝐴
𝜎4 =
2 . 𝐾𝑚𝑎𝑗. 𝑁𝑘
3.
𝐵
2
− 𝑒𝐵 . 𝐴
−
𝐾𝑚𝑎𝑗. 𝑁𝑘
𝐴. 𝐵
6. 𝑒𝐴
𝐴
𝜎1 =
𝐾𝑚𝑎𝑗. 𝑁𝑘
𝐴. 𝐵
1 −
6. 𝑒𝐴
𝐴
−
6. 𝑒𝐵
𝐵
𝜎2 =
𝐾𝑚𝑎𝑗. 𝑁𝑘
𝐴. 𝐵
1 +
6. 𝑒𝐴
𝐴
−
6. 𝑒𝐵
𝐵
𝜎3 =
𝐾𝑚𝑎𝑗. 𝑁𝑘
𝐴. 𝐵
1 −
6. 𝑒𝐴
𝐴
+
6. 𝑒𝐵
𝐵
𝜎4 =
𝐾𝑚𝑎𝑗. 𝑁𝑘
𝐴. 𝐵
1 +
6. 𝑒𝐴
𝐴
+
6. 𝑒𝐵
𝐵
𝜎1 =
𝐾𝑚𝑎𝑗. 𝑁𝑘
𝐴. 𝐵
1 +
6. 𝑒𝐴
𝐴
+
6. 𝑒𝐵
𝐵
𝜎2 =
𝐾𝑚𝑎𝑗. 𝑁𝑘
𝐴. 𝐵
1 −
6. 𝑒𝐴
𝐴
+
6. 𝑒𝐵
𝐵
𝜎3 =
𝐾𝑚𝑎𝑗. 𝑁𝑘
𝐴. 𝐵
1 +
6. 𝑒𝐴
𝐴
−
6. 𝑒𝐵
𝐵
𝜎4 =
𝐾𝑚𝑎𝑗. 𝑁𝑘
𝐴. 𝐵
1 −
6. 𝑒𝐴
𝐴
−
6. 𝑒𝐵
𝐵
𝜎1 =
𝐾𝑚𝑎𝑗. 𝑁𝑘
𝐴. 𝐵
1 −
6. 𝑒𝐴
𝐴
+
6. 𝑒𝐵
𝐵
𝜎2 =
𝐾𝑚𝑎𝑗. 𝑁𝑘
𝐴. 𝐵
1 +
6. 𝑒𝐴
𝐴
+
6. 𝑒𝐵
𝐵
𝜎3 =
𝐾𝑚𝑎𝑗. 𝑁𝑘
𝐴. 𝐵
1 −
6. 𝑒𝐴
𝐴
−
6. 𝑒𝐵
𝐵
𝜎4 =
𝐾𝑚𝑎𝑗. 𝑁𝑘
𝐴. 𝐵
1 +
6. 𝑒𝐴
𝐴
−
6. 𝑒𝐵
𝐵
σ1 = 0,012792 kN/cm²
σ2 = 0,012815 kN/cm²
σ3 = 0,012805 kN/cm²
σ4 = 0,012828 kN/cm²
CA = 350 cm OK
dA = 293,40 cm OK
σmáx,A = 0,012212 kN/cm²
σmín,A = 0,012196 kN/cm²
Para eA/A ≤ 1/6 o cálculo de σmín,A é feito substituíndo x por 0,35ap na fórmula a seguir:
Para eA/A > 1/6 o cálculo de σmín,A é feito através da fórmula demonstrada a seguir:
σmáx,A para 
Para que o método do CEB-70 possa ser aplicado no cálculo da área de aço é preciso verificar se h/2 ≤ CA ≤ 2h e dA ≤ 1,5.CA
h/2 ≤ CA ≤ 2h
dA ≤ 1,5.CA
(Tensão no vértice 4 na base da sapata - Ver ilustração)
• Cálculo da área de aço das barras paralelas ao lado A:
No cálculo da área de aço das barras paralelas ao lado A serão utilizadas as tensões geradas pela carga Nk e pelo momento fletor MAk
OBS.: No cálculo da área de aço, o coeficiente Kmaj não será utilizado 
nas fórmulas de σmáx,A e σmín,A, pois o momento fletor solicitante 
interno (Mref,A) não depende do peso próprio da sapata e do solo acima 
dela. A excentricidade eA nessas fórmulas também será recalculada sem 
o Kmaj.
OBS.: Se a tensão for negativa isso significa que 
o vértice está tracionado ("desgrudado do solo")
Estando tudo OK o método do CEB-70 pode ser 
aplicado
Cálculo de σmáx,A e σmín,A:
σmáx,A para 
Para MAk0:
Por semelhança de triângulos:
(Tensão no vértice 1 na base da sapata - Ver ilustração)
(Tensão no vértice 2 na base da sapata - Ver ilustração)
(Tensão no vértice 3 na base da sapata - Ver ilustração)
𝜎𝑚á𝑥,𝐴 =
𝑁𝑘
𝐴. 𝐵
1 +
6. 𝑒𝐴
𝐴
𝑒𝐴
𝐴
≤
1
6
𝜎𝑚á𝑥,𝐴 =
2 . 𝑁𝑘
3.
𝐴
2
− 𝑒𝐴 . 𝐵
𝑒𝐴
𝐴
>
1
6
𝜎𝑚í𝑛,𝐴 =
𝑁𝑘
𝐴. 𝐵
1 −
12. 𝑒𝐴. 𝑥
𝐴²
; x = 0,35𝑎𝑝
𝜎𝑚á𝑥,𝐴
𝑐
=
𝜎𝑚í𝑛,𝐴
𝑐 − 𝑥𝐴
𝜎𝑚í𝑛,𝐴 =
𝑐 − 𝑥𝐴
𝑐
𝜎𝑚á𝑥,𝐴
𝑐 = 3.
𝐴
2
− 𝑒𝐴𝜎𝑚á𝑥,𝐴 =
2 .𝑁𝑘
3.
𝐴
2
− 𝑒𝐴 . 𝐵
𝜎1 =
𝐾𝑚𝑎𝑗. 𝑁𝑘
𝐴. 𝐵
1 +
6. 𝑒𝐴
𝐴
−
6. 𝑒𝐵
𝐵
𝜎2 =
𝐾𝑚𝑎𝑗. 𝑁𝑘
𝐴. 𝐵
1 −
6. 𝑒𝐴
𝐴
−
6. 𝑒𝐵
𝐵
𝜎3 =
𝐾𝑚𝑎𝑗. 𝑁𝑘
𝐴. 𝐵
1 +
6. 𝑒𝐴
𝐴
+
6. 𝑒𝐵
𝐵
𝜎4 =
𝐾𝑚𝑎𝑗. 𝑁𝑘
𝐴. 𝐵
1 −
6. 𝑒𝐴
𝐴
+
6. 𝑒𝐵
𝐵
dA = 293,40 cm
fyd = 43,48 kN/cm²
As,A = 174,07 cm² OK
As,mín,A = 450,00 cm²
φA = 32 mm
Nº barras = 56
CB = 250 cm OK
dB = 290,20 cm OK
(Quantidade de barras paralelas ao lado A)
Cálculo da área de aço mínima:
O cálculo da área de aço mínima será feito utilizando os valores para a taxa mínima de 
armadura de flexão presentes na Tabela 17.3 da NBR 6118:2014 
(Área da seção transversal da sapata)
(Área de aço mínima)
ρmín = Taxa mínima de armadura (Tabela 17.3 da NBR 6118:2014)
(Bitola das barras paralelas ao lado A)
OBS.: A quantidade de barras de aço paralelas ao lado A 
foram calculadas para o maior valor entre As,A e As,mín,A
• Cálculo da área de aço das barras paralelas ao lado B:
No cálculo da área de aço das barras paralelas ao lado B serão utilizadas as tensões geradas pela carga Nk e pelo momento fletor MBk
Para que o método do CEB-70 possa ser aplicado no cálculo da área de aço é preciso verificar se h/2 ≤ CB ≤ 2h e dB ≤ 1,5.CB
h/2 ≤ CB ≤ 2h Estando tudo OK o método do CEB-70 pode ser 
aplicadodB ≤ 1,5.CB
(Área de aço das barras paralelas 
ao lado A)
(Altura útil para as barras paralelas ao lado A)
(Valor de cálculo da tensão de escoamento do aço)
FT = Força devido a parcela 
triangular do carregamento 
distribuído
Substituindo as expressões para FR e FT na fórmula do Mref,A, obtem-se:
(Momento fletor em relação a seção de 
referência SA)
Mref,A = 1348189 kNcm
Cálculo do momento fletor em relação a seção de referência SA:
FR = Força devido a parcela 
retangular do carregamento 
distribuído
dA ≤ 1,5.CA
𝑀𝑟𝑒𝑓,𝐴 = 𝐹𝑅
𝑥𝐴
2
+ 𝐹𝑇
2 . 𝑥𝐴
3
𝑥𝐴 = 𝐶𝐴 + 0,15𝑎𝑝 =
𝐴 − 𝑎𝑝
2
+ 0,15𝑎𝑝 𝐹𝑅 = 𝜎𝑚í𝑛,𝐴 . 𝑥𝐴 . B 𝐹𝑇 =
𝜎𝑚á𝑥,𝐴 − 𝜎𝑚í𝑛,𝐴 . 𝑥𝐴 . B
2
𝑀𝑟𝑒𝑓,𝐴 = 2 . 𝜎𝑚á𝑥,𝐴 + 𝜎𝑚í𝑛,𝐴
𝐵 . 𝑥𝐴
2
6
𝐴𝑠,𝐴 =
𝛾𝑓. 𝑀𝑟𝑒𝑓,𝐴
0,85. 𝑑𝐴. 𝑓𝑦𝑑
𝑑𝐴 = h − c − ΤФ𝐴 2
𝐴𝐶 = B . ℎ0 +
(𝐵 + 𝑏𝑝)
2
ℎ − ℎ0
𝐴𝑠,𝑚í𝑛,𝐴 = 𝜌𝑚í𝑛 . 𝐴𝐶
σmáx,B = 0,012206 kN/cm²
dB = 290,20 cm
fyd = 43,48 kN/cm²
As,B = 126,20 cm² OK
As,mín,B = 675,00 cm²
φB = 32 mm
Nº barras = 84
O cálculo da área de aço mínima será feito utilizando os valores para a taxa mínima de 
armadura de flexão presentes na Tabela 17.3 da NBR 6118:2014 
(Área da seção transversal da sapata)
(Área de aço mínima)
ρmín = Taxa mínima de armadura (Tabela 17.3 da NBR 6118:2014)
(Bitola das barras paralelas ao lado B)
OBS.: A quantidade de barras de aço paralelas ao lado B 
foram calculadas para o maior valor entre As,B e As,mín,B(Quantidade de barras paralelas ao lado B)
(Área de aço das barras paralelas 
ao lado B)
(Altura útil para as barras paralelas ao lado B)
(Valor de cálculo da tensão de escoamento do aço)
Cálculo da área de aço mínima:
OBS.: A altura útil dB foi calculada considerando que as barras paralelas ao lado B ficarão sobre as barras paralelas ao lado A
σmín,B = 0,012198 kN/cm²
Cálculo do momento fletor em relação a seção de referência SB:
FR = Força devido a parcela 
retangular do carregamento 
distribuído
FT = Força devido a parcela 
triangular do carregamento 
distribuído
Substituindo asexpressões para FR e FT na fórmula do Mref,B, obtem-se:
(Momento fletor em relação a seção de 
referência SB)
Mref,B = 966745,7 kNcm
Cálculo de σmáx,B e σmín,B:
σmáx,B para 
σmáx,B para 
Para eB/B ≤ 1/6 o cálculo de σmín,B é feito substituíndo y por 0,35bp na fórmula a seguir:
Para eB/B > 1/6 o cálculo de σmín,B é feito através da fórmula demonstrada a seguir:
Por semelhança de triângulos:
OBS.: No cálculo da área de aço, o coeficiente Kmaj não será utilizado 
nas fórmulas de σmáx,B e σmín,B, pois o momento fletor solicitante 
interno (Mref,B) não depende do peso próprio da sapata e do solo acima 
dela. A excentricidade eB nessas fórmulas também será recalculada sem 
o Kmaj.
dB ≤ 1,5.CB
𝜎𝑚á𝑥,𝐵 =
𝑁𝑘
𝐴. 𝐵
1 +
6. 𝑒𝐵
𝐵
𝑒𝐵
𝐵
≤
1
6
𝜎𝑚á𝑥,𝐵 =
2 .𝑁𝑘
3.
𝐵
2 − 𝑒𝐵 . 𝐴
𝑒𝐵
𝐵
>
1
6
𝜎𝑚í𝑛,𝐵 =
𝑁𝑘
𝐴. 𝐵
1 −
12. 𝑒𝐵. 𝑦
𝐵²
; y = 0,35𝑏𝑝
𝜎𝑚á𝑥,𝐵
𝑐
=
𝜎𝑚í𝑛,𝐵
𝑐 − 𝑥𝐵
𝜎𝑚í𝑛,𝐵 =
𝑐 − 𝑥𝐵
𝑐
𝜎𝑚á𝑥,𝐵
𝑐 = 3.
𝐵
2
− 𝑒𝐵𝜎𝑚á𝑥,𝐵 =
2 .𝑁𝑘
3.
𝐵
2
− 𝑒𝐵 . 𝐴
𝑀𝑟𝑒𝑓,𝐵 = 𝐹𝑅
𝑥𝐵
2
+ 𝐹𝑇
2 . 𝑥𝐵
3
𝑥𝐵 = 𝐶𝐵 + 0,15𝑏𝑝 =
𝐵 − 𝑏𝑝
2
+ 0,15𝑏𝑝 𝐹𝑅 = 𝜎𝑚í𝑛,𝐵 . 𝑥𝐵 . A 𝐹𝑇 =
𝜎𝑚á𝑥,𝐵 − 𝜎𝑚í𝑛,𝐵 . 𝑥𝐵 . A
2
𝑀𝑟𝑒𝑓,𝐵 = 2 . 𝜎𝑚á𝑥,𝐵 + 𝜎𝑚í𝑛,𝐵
𝐴 . 𝑥𝐵
2
6
𝐴𝑠,𝐵 =
𝛾𝑓 . 𝑀𝑟𝑒𝑓,𝐵
0,85. 𝑑𝐵. 𝑓𝑦𝑑
𝑑𝐵 = h − c − Ф𝐴 Τ−Ф𝐵 2
𝐴𝐶 = A . ℎ0 +
(𝐴 + 𝑎𝑝)
2
ℎ − ℎ0
𝐴𝑠,𝑚í𝑛,𝐵 = 𝜌𝑚í𝑛 . 𝐴𝐶
σmáx = 0,012828033 kN/cm²
σadm,solo = 0,055 kN/cm²
OK
OK
Dir. A = 18,00 cm
Dir. B = 17,95 cm (Espaçamento entre as barras paralelas ao lado B)
• Verificação da ancoragem das barras:
• Verificação do espaçamento entre as barras:
Para reduzir a possibilidade de fissuração do concreto e garantir seu adequado preenchimento entre as barras de aço e as fôrmas é recomendado que o 
espaçamento entre as barras seja maior ou igual a 10cm e menor ou igual a 20cm 
(Espaçamento entre as barras paralelas ao lado A)
De acordo com o item 22.6.4.1.1 da NBR 6118:2014 as armaduras da sapata devem ser estendidas integralmente de face a face e possuir gancho nas 
extremidades. Além disso, para que a ancoragem das barras esteja garantida é necessário que o comprimento disponível seja maior ou igual ao comprimento 
de ancoragem necessário
O critério que foi utilizado para definir o ponto de início da ancoragem das barras está indicado nas ilustrações a seguir:
(Condição para que a atuação isolada de Nk e MAk 
comprima pelo menos 2/3 da base da sapata)
(Condição para que a atuação isolada de Nk e MBk 
comprima pelo menos 2/3 da base da sapata)
OK
(Condição para garantir a segurança contra o tombamento da sapata 
mesmo na situação mais desfavorável)
• Verificação das excentricidades e segurança contra o tombamento:
De acordo com o item 7.6.2 da NBR 6122:2019 a área comprimida da base da sapata deve ser de no mínimo 2/3 da área total para solicitações com valor 
característico. No cálculo dessa sapata deverá ser verificado se pelo menos 2/3 da área total da base da sapata estará comprimida com a atuação isolada de Nk 
e MAk e Nk e MBk
OK
Segundo a NBR 6118:2014 (item 22.6.2.2) não existe possibilidade física de punção em sapatas rígidas, entretanto, deve ser verificada a segurança contra a 
ruptura por compressão diagonal do concreto conforme especifica o item 19.5.3.1
Para garantir a segurança contra a ruptura por compressão diagonal do concreto a tensão 
solicitante de cálculo τSd deve ser menor ou igual a τRd2
τSd ≤ τRd2
OK
• Verificação das tensões no solo:
Para garantir a segurança contra a ruptura do solo e/ou recalques excessívos a maior tensão de compressão na base da sapata deverá ser menor ou igual a 
tensão admissível
(Tensão admissível do solo)
σmáx ≤ σadm,solo
• Verificação das diagonais comprimidas de concreto:
(Tensão máxima de compressão que a sapata aplica no solo)
𝜏𝑅𝑑2 = 0,27. 𝛼 . 𝑓𝑐𝑑 ; 𝑓𝑐𝑑 =
𝑓𝑐𝑘
𝛾𝑓
𝜏𝑆𝑑 = 𝛾𝑓
𝑁𝑘
𝑢 . 𝑑
; 𝑢 = 2 . (𝑎𝑝 + 𝑏𝑝)
𝛼 = 1 −
𝑓𝑐𝑘
250
; 𝑓𝑐𝑘 𝑒𝑚𝑀𝑃𝑎
𝑒𝐴 ≤
5. 𝐴
18
𝑒𝐵 ≤
5. 𝐵
18
𝑒𝐴
𝐴
2
+
𝑒𝐵
𝐵
2
≤
1
9
𝑥𝐴
′ =
𝑥𝐴
3
2 . 𝜎𝑚í𝑛,𝐴 + 𝜎𝑚á𝑥,𝐴
𝜎𝑚í𝑛,𝐴 + 𝜎𝑚á𝑥,𝐴
ldisp,dirA = 229,9 cm
lb,nec,dirA = 32,0 cm
ldisp,dirB = 157,4809548 cm
lb,nec,dirB = 32,0 cm
lb,pilar = 50 cm
OK
dB = 290,20 cm
0,00 º
0,00 º
OK
OK
É preciso também que o comprimento básico de ancoragem das barras do pilar seja menor que a altura útil da sapata
lb,pilar