Logo Passei Direto

Solución parcial 2

Material
¡Estudia con miles de materiales!

Vista previa del material en texto

UNIVERSIDAD DE ANTIOQUIA
Facultad de Ciencias Económicas
Matemáticas II
Parcial 2
Fecha
Prof. Jaiberth Porras B.
Nombre: Documento:
* La interpretación hace parte de la evaluación, no se responden preguntas durante el parcial.
* Se puede usar calculadora pero no celulares, tabletas y portátiles.
* El examen debe ser resuelto en un tiempo máximo de 1 hora y 40 minutos.
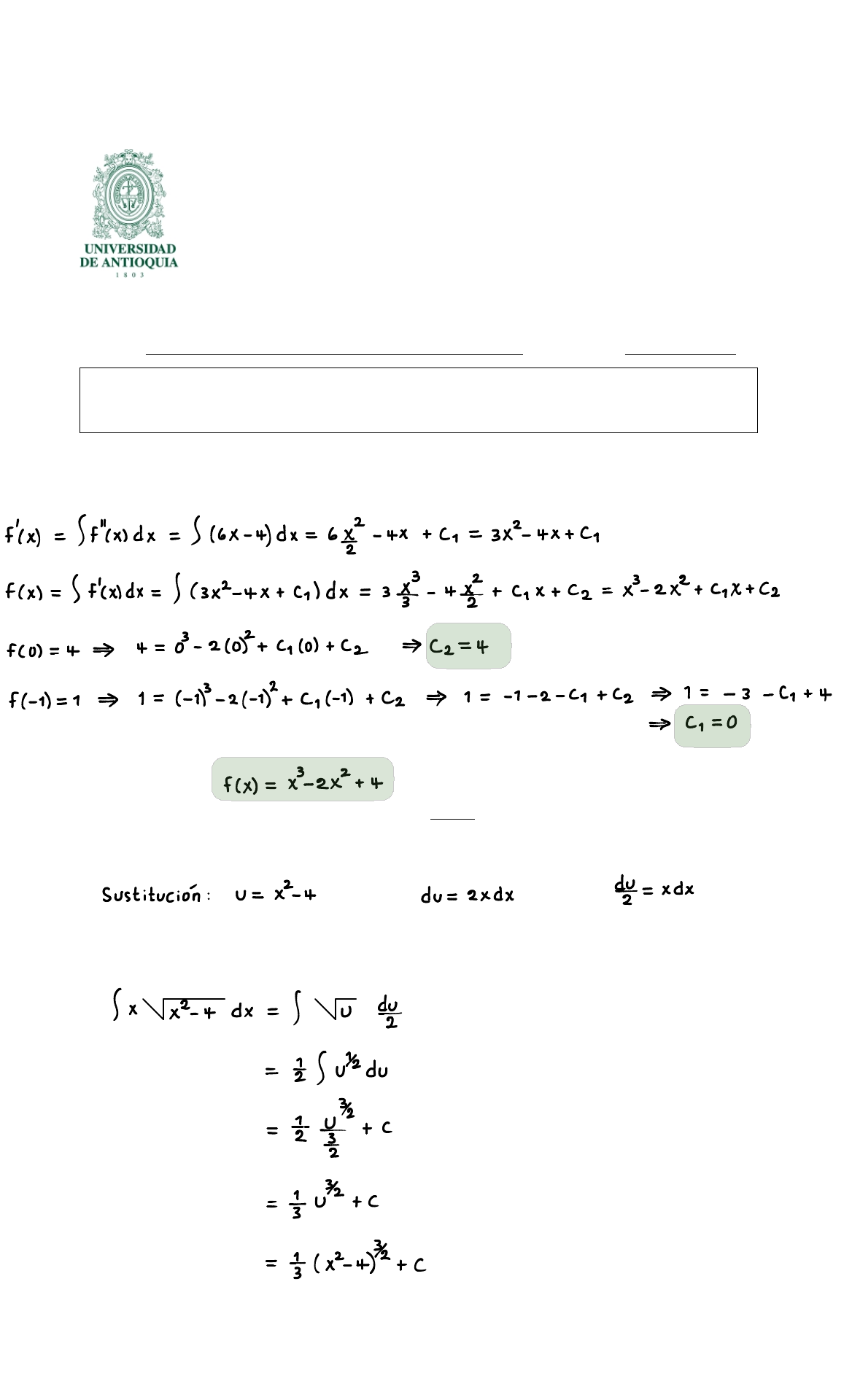
1. (20%) Suponga que f
00
(x) = 6x� 4. Si f(0) = 4 y f(�1) = 1, encuentre f .
2. (20%) Calcular la integral indefinida
Z
x
p
x
2 � 4 dx.
3. (20%) Calcular por el método de sumas de Riemann
Z
(x
2
+ 3) dx. Graficar la función
f(x) = x
2
+ 3 y sombrear el área determinada por la integral anterior.
4. (20%) Calcular la integral definida
Z 1
0
x(x
2
+ 1)
10
dx.
5. (20%) Sea f
prom
el valor promedio de la función f(x) = x
2
+1 en el intervalo [0, 1]. Encontrar
el valor de c tal que f(c) = f
prom
.