Logo Passei Direto
Buscar

Atividade 3 Hidráulica

User badge image
Bruno Conti

em

Ferramentas de estudo

Questões resolvidas

Examine com atenção a fórmula e pense em que conselho você daria para os instaladores, quanto à localização da bomba em relação ao reservatório de onde vai retirar a água, especificamente, quanto à distância da bomba, em relação ao nível da água.


Reduzir a altura manométrica de sucção.
Aumentar a altura manométrica de sucção.
Manter a altura manométrica de sucção igual à altura estática da sucção.
Não há relação entre a altura manométrica de sucção e a ocorrência de cavitação.

Material
páginas com resultados encontrados.
páginas com resultados encontrados.
left-side-bubbles-backgroundright-side-bubbles-background

Crie sua conta grátis para liberar esse material. 🤩

Já tem uma conta?

Ao continuar, você aceita os Termos de Uso e Política de Privacidade

Questões resolvidas

Examine com atenção a fórmula e pense em que conselho você daria para os instaladores, quanto à localização da bomba em relação ao reservatório de onde vai retirar a água, especificamente, quanto à distância da bomba, em relação ao nível da água.


Reduzir a altura manométrica de sucção.
Aumentar a altura manométrica de sucção.
Manter a altura manométrica de sucção igual à altura estática da sucção.
Não há relação entre a altura manométrica de sucção e a ocorrência de cavitação.

Prévia do material em texto

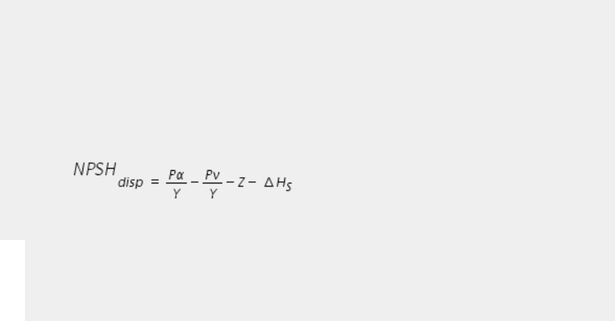
1. O problema da cavitação ocorre com frequência na prática profissional do engenheiro da área de Hidráulica. A abordagem desse fato indesejável requer uma atenção destacada do profissional para os detalhes técnicos da instalação do sistema motor-bomba e todo seu encanamento, tanto de sucção quanto de recalque. Observe que, para garantirmos a eficiência da instalação quanto a esse problema, o sistema deverá obedecer a relação  NPSHdisp > NPSHreq. O NPSHreq, fornecida pelo fabricante da bomba, mas o NPSHdisp é função da instalação total do sistema e é equacionado como   ,sendo seus quatro termos, respectivamente, pressão atmosférica, pressão de vapor, altura estática da sucção e perda de carga na sucção.
Examine com atenção a fórmula e pense em que conselho você daria para os instaladores, quanto à localização da bomba em relação ao reservatório de onde vai retirar a água, especificamente, quanto à distância da bomba, em relação ao nível da água.
RESPOSTA:
A cavitação é um fenômeno que pode aparecer nas instalações de bombas centrífugas. Ela diminui o rendimento e reduz drasticamente a vida útil da bomba, então, como orientação para eliminar este problema, reduziria a altura manométrica de sucção, que representa o ganho de energia de pressão do líquido entre a entrada e a saída da bomba.

Mais conteúdos dessa disciplina