Logo Passei Direto
Buscar
Material
páginas com resultados encontrados.
páginas com resultados encontrados.

Prévia do material em texto

Epilepsia
Definição
• Epilepsia é uma doença neurológica crônica caracterizada por crises epilépticas recorrentes (2
crises em mais de 24 horas)
• Pode se caracterizar só por crises de repetição, sempre com o mesmo padrão, mas pode levar a
distúrbios cognitivos, dependendo da frequência e da gravidade das crises
• Dependendo da frequência das crises vai gerar no mínimo uma dificuldade de aprendizagem
• Frequência: 1% da população mundial
• Duas ou mais crises nos últimos 12 meses sem evidências de insultos agudos como febre,
infecção, ingestão de álcool ou intoxicação por drogas ou abstinência, interrupção abrupta de
antidepressivo, psicoestimulante (venvanse, ritalina, difenidato, anfetaminas)
- essas crises são chamadas de crises reflexas porque podem ser desencadeadas por estímulo
tátil, auditivo, visual, metabólico
• É uma doença primária do SNC, ou seja, de causa desconhecida. Algumas são de causas
familiares, formas herdadas geneticamente devido a um conjunto de genes que predispõem à
epilepsia
Diferenças de incidência da doença
• Na América Latina, a prevalência de epilepsia é de 1,5 a 2% (mais alta que na população mundial).
• Em países desenvolvidos: predomínio em crianças e em indivíduos idosos (hipertenso, tem doença
vascular cerebral, hiperglicemia, dislipidemia)
- distúrbios de desenvolvimento e as epilepsias idiopáticas na infância (suscetibilidade
genética) e processos degenerativos e vasculares na terceira idade
• Países em desenvolvimento: adultos jovens e idosos
- causas infecciosas e parasitárias (prevalência grande de neurocisticercose) e os
traumatismos cranioencefálicos
Epilepsia
• estado de hiperatividade dos neurônios e circuitos cerebrais, com geração de descargas elétricas
sincrônicas anormais, podendo se manifestar de formas diversas
- quando os potenciais de ação ficam restritos a uma área (lobo temporal, por exemplo), haverá
crises epilépticas só do lobo temporal (crises epilépticas focais). Se um potencial de ação se
propaga, se espalhando por todo o córtex, há perda de consciência e se será uma crise
generalizada.
• A descarga interictal: EEG
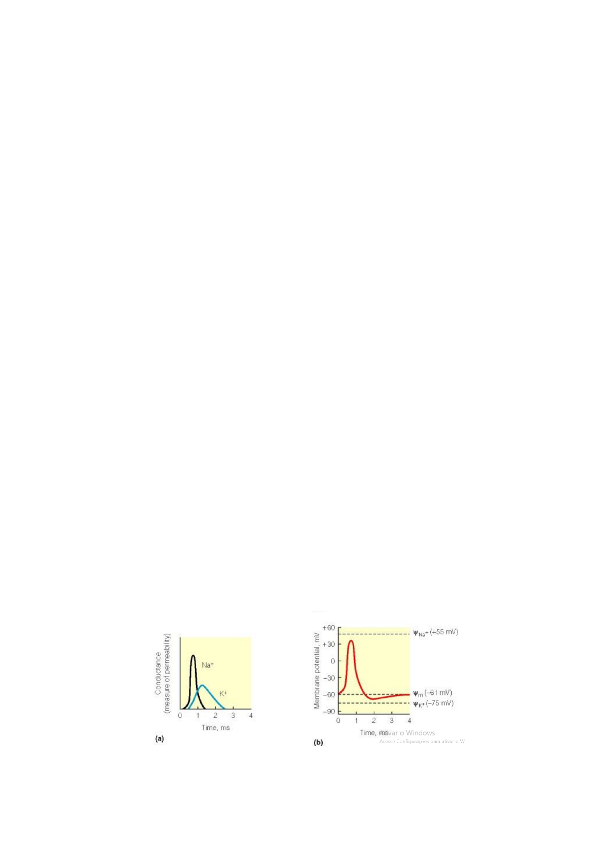
Tanto os neurônios quanto as células da glia são tecidos excitáveis (gera corrente elétrica e
tem a capacidade de propagar essa corrente e as células se comunicam entre si), apresentando
canais iônicos em sua membrana (a membrana lipoproteica é permeável a íons); Há muito canal
iônico de potássio e pouco canal iônico de repouso de sódio, predominando o potencial adquirido de
potássio da célula (deixando a célula negativa).
O potencial de ação é disparado em resposta aos estímulos, quando atinge o limiar do
estímulo, ele é deflagrado. O potencial de ação é sempre igual e vai ser sempre propagado do
mesmo jeito, na dependência da abertura de canais de sódio, que abrem e fecham rapidamente e da
dependência de canais de potássio que são lentos, vão abrindo e repolarizando a célula.
O potencial de ação volta ao repouso por conta da abertura e fechamento rápido dos canais
de sódio e lento dos canais de potássio. A membrana, então, vai hiperpolarizar, vai entrar muito
potássio, gerando um potencial excitatório que se transmite, inclusive, de um neurônio para o outro
nas sinapses.
O eletroencefalograma em repouso mostra esses potenciais de ação normais.
Quando o estímulo atinge o limiar, abrem os canais de sódio voltagem dependente, entra
muito sódio, causando um pico; a regeneração do repouso é que depende mais do potássio. Os 2
abrem praticamente ao mesmo tempo, mas o de sódio tem essa característica de despolarizar a
célula, o que gera potencial de ação é o pico de sódio; a despolarização anormal da epilepsia é por
conta dos canais de sódio abertos.
A síndrome de Graves gera uma epilepsia determinada geneticamente, é grave, e ocorre
devido a um defeito dos canais de sódio (para ser normal, ele tem que abrir e fechar rápido, porque
se ele ficar muito tempo aberto, o neurônio fica despolarizado e transmitindo estímulo). Da mesma
forma se houver defeito nos canais de potássio também não vai hiperpolarizar. Podem haver
também anormalidades mistas desses canais, alterando toda bioeletrogênese da célula neuronal.
A corrente de sódio é despolarizante, então o ideal seriam medicamentos que diminuem o
influxo de sódio para desencadear menos potenciais de ação anormais.
Há medicamentos que atuam nos canais de cloro. O cloro é um íon negativo, ele estabiliza,
passa de um lado para o outro da membrana livremente. Tem a função de estabilizar a membrana,
estabilizando o potencial elétrico.
Há outros que agem nos canais de cálcio. Nas sinapses excitatórias há uma quantidade
grande de canal de cálcio. Na pré-sinapse esse canal abre, permite exocitose do neurotransmissor e
se esse neurotransmissor for excitatório, como o glutamato, se inibe o canal de cálcio vai haver
menos glutamato na fenda, o que vai inibir o potencial pós-sináptico excitatório.
Fisiopatologia das epilepsias
• Descargas neuronais excessivas e síncronas que podem se originar em apenas uma parte de um
hemisfério cerebral (crises focais) ou de uma área mais extensa envolvendo os dois hemisférios
cerebrais (crises generalizadas) ou secundariamente generalizadas
- é uma desordem originalmente cortical, mas hipotálamo e tálamo também podem estar
envolvidos
- hamartoma hipotalámico gera crises epilépticas
- lobo frontal: se houver uma descarga anormal se originando nesse lobo. Controla motricidade
voluntária, planejamento do movimento e olhar conjugado (também presente na ponte) →
gera crises focais motoras ou hipotônica ou espástica ou com desvio da cabeça ou com
desvio do olhar, mão fica mole ou começa a movimentar. Na crise o paciente pode parar e
começar a fazer algum automatismo
• Há 3 tipos de crise: focal, generalizada e focal com generalização secundária.
- as focais geralmente são secundárias a doenças que devem ser investigadas
(meningoencefalite, AVC, tumor, hidrocefalia)
- a generalizada já é difícil descobrir a causa. Pode ser devido à predisposição genética.
Os sintomas de uma crise dependem das partes do cérebro envolvidas na disfunção.
• Perda de consciência: estruturas do sistema reticular ativador ascendente (quando isto não
ocorre, o indivíduo se mantém consciente durante toda a crise).
- O sistema reticular ativador ascendente é responsável pelo estado de vigília, de consciência e
padrões de sono (sono REM (imperatividade cortical e tônus reduzido). Começa nos núcleos
da rafe e no locus ceruleus no tronco cerebral. Esses núcleos funcionam a base de
serotonina, noradrenalina e acetilcolina e vão ativar o tálamo (que se conecta com todo o
córtex, com todas as áreas sensoriais e motoras do córtex). Quando esses núcleos excitam o
tálamo eles mantêm o estado de alerta fisiológico, qualquer desordem do locus ceruleus e
dos núcleos da rafe alteram os níveis de consciência e padrões de sono. O que estimula esse
sistema são as aferências sensoriais (auditiva, visual), mas o mais poderoso é o estímulo
doloroso (o que mais excita). Esse sistema é o que está comprometido no estado de coma e
também nas epilepsias. Na epilepsia generalizada ele está hiperativo, funcionando de uma
forma acima do que deveria.
Quando há uma crise epiléptica duradoura ou várias crises subentrantes acaba gerando várias
sinapses glutamatérgicas, influxo de cálcio, liberação de glutamato na fenda sináptica (entre um
neurônio e outro) e nos receptores NMDA. Isso gera lesão celular e até morte neuronal, tudo isso
ocorre também porque há influxo de íons cálcio e sódio (íons positivos) gerando uma grande
despolarização. Ou seja, há excesso de atividade glutamatérgica (maior neurotransmissor
excitatório, mas isso também pode ocorrer por excesso de inibição do GABA (maior
neurotransmissor inibitório, os efeitos dele se contrapõe aos efeitos dos cátions sódio, potássio e
cálcio que são os íons positivos que despolarizam a membrana). O GABA abre canais de cloro
• Crises epilépticas generalizadas
• O dano celular excitotóxico (crises generalizadas com fenômenos motores duradouros)- influxo de íons cálcio durante a fase de despolarização >> ativação de receptores de
aminoácidos excitatórios gerando estresse oxidativo, lesão neuronal
- necrose celular aguda e morte celular apoptótica a longo prazo (diminuição da população
neuronal quando há crises subentrantes).
• excesso de excitação (glutamato)
• falta de inibição (ácido gama-aminobutírico).
Na epilepsia ou há uma excitotoxicidade do glutamato ou uma inibição do GABA. Nas
doenças neurodegenerativas também ocorre esse mecanismo excitotóxico do glutamato nas
sinapses motoras
Nas crises motoras pode ocorrer paralisias pós-crise devido aos danos neuronais. A paralisia
de Todd ocorre pelo esgotamento dessas sinapses, desses neurônios que param de funcionar, de
responder. Essa paralisia pode ser no membro superior ou inferior, mas são transitórias.
Epilepsia - diagnósticos diferenciais
• síncopes: se inicia com escurecimento visual, lipotímia, sudorese fria intensa (diaforese
importante), perda do tônus postural, hipotensão, síndrome vaso-vagal (hiperatividade do nervo
vago), pode haver hipoglicemia, paciente pode ter uma hipoperfusão cerebral se não deitar
imediatamente. Ao deitar o fluxo cerebral se reestabelece. Paciente fica consciente, orientado e
responsivo (o que não acontece normalmente numa crise epiléptica). Mas pode evoluir para uma
crise epiléptica generalizada se não houver reestabelecimento do fluxo sanguíneo cerebral em
tempo hábil. Situações que podem gerar síncopes: depressão, ansiedade, calor, jejum prolongado. A
convulsão tem um pós-convulsivo, um quadro neuronal gerando alteração de consciência. Para
diferenciar síncope de convulsão deve-se perguntar como começou, o que o paciente sentiu quando
foi ter a “crise”. Quando o paciente vai ter a crise, ele costuma ter alucinações (alucinação visual
complexa como ver uma multidão rindo deve se originar entre o lobo temporal e o occipital →
alucinação visual + algo interpretativo). Para saber a origem da crise ou pergunta para quem viu ou
pergunta para o paciente o que ele sentiu antes da crise.
• parassonias
• transtornos de movimento
• outros eventos não-epilépticos
Diagnóstico das Epilepsias Classificação Internacional (ILAE, 2017)
• A classificação das epilepsias é um instrumento fundamental na avaliação de um indivíduo que
apresenta crises epilépticas.
• compreensão do tipo de crise do paciente ou outros tipos de crises que mais provavelmente
ocorram naquele indivíduo, agentes potenciais precipitantes de crises e frequentemente, seu
prognóstico.
• riscos de comorbidades: dificuldades de aprendizado, deficiência intelectual, manifestações
psiquiátricas como transtornos do espectro autista, e risco de mortalidade como morte súbita em
epilepsia (SUDEP).
• Seleção de fármacos antiepilépticos.
Os níveis de diagnóstico compreendem: tipos de crises, tipo de epilepsia (focal, generalizada,
focal e generalizada combinados e desconhecido) e síndromes epilépticas
Classificação das Crises Epilépticas
Na tônica o paciente só faz a hipertonia
Clônica: só faz o movimento clônico
Mioclônica: “sustos”, derruba as coisas inconscientemente
A crise generalizada de ausência geralmente é infantil e o paciente fica completamente
inconsciente, mas não perde o tônus postural
A focal cognitiva é do lobo temporal
Jamais vu = estranhar um ambiente que o paciente já está acostumado
Crise epiléptica focal não motora faz diagnóstico diferencial com alguns transtornos
psiquiátricos do espectro da esquizofrenia
Epilepsia generalizada
• o paciente deve apresentar atividade de complexos de espícula-onda generalizados no EEG.
• crises de ausência
• Mioclônicas
• Atônicas
• Tônicas
• tônico-clônicas.
• Diagnóstico: dados clínicos + descargas interictais típicas no EEG.
• abalos mioclônicos ou uma história familiar relevante aponta para uma epilepsia primária,
principalmente a epilepsia mioclônica juvenil.
Eletroencefalograma normal em vigília
O eletroencefalograma só tem valor junto com a clínica. Não deve ser feito de rotina em
pacientes sem sinais ou sintomas.
Descargas interictais da epilepsia generalizada
Descargas ictais
Pode induzir a crise com foto estimulo se o paciente tiver uma crise que se origina na região
occipital → com luz estroboscópica
Crises generalizadas
• As crises generalizadas são subdivididas em: motoras e ausências. A maior parte delas cursam
com perda da consciência, com exceção das crises mioclônicas.
• Pode ser feito o diagnóstico com a clínica + vídeo EEG (feito quando há dúvida de qual tipo de
crise que é porque observa o paciente tendo a crise e o EEG ao mesmo tempo).
- vídeo EEG é o padrão ouro
Epilepsias focais autolimitadas
• Há várias epilepsias focais autolimitadas, as quais tipicamente têm início na infância e tendem a
melhorar na idade adulta.
• A epilepsia autolimitada mais comum é a epilepsia com descargas centro-temporais, anteriormente
chamada “epilepsia benigna com descargas centrotemporais”.
• Outras : as epilepsias occipitais autolimitadas da infância.
• Outras epilepsias autolimitadas dos lobos frontal , temporal e parietal foram descritas com algumas
iniciando na adolescência e até mesmo na vida adulta.
Epilepsia centro-rolândica
Epilepsia focal central → no EEG há espículas nas regiões centrais do cérebro. Tem crise
focal e generalizada. Tipo de síndrome benigna, que geralmente melhora na vida adulta
Síndrome epiléptica
• Conjunto de características, incluindo tipos de crises, EEG e características de imagem, que
tendem a ocorrer juntas.
- a maioria não se sabe a causa ou existem várias causas
• Características dependentes da idade: idade de início e remissão, desencadeadores de crises,
variação diurna e algumas vezes prognóstico.
• Pode ter comorbidades: disfunção intelectual e psiquiátrica e características eletroencefalográficas
e em estudos de neuroimagem.
• Pode ter implicações etiológicas, prognósticas e terapêuticas.
• Uma síndrome epiléptica não tem correlação com o diagnóstico etiológico e tem um propósito
diferente, como o de orientar o manejo clínico.
• Há várias síndromes bem reconhecidas como epilepsia ausência da infância, síndromes de West e
de Dravet (ambas muito graves), embora deva ser assinalado que nunca houve uma classificação
formal das síndromes epilépticas pela ILAE 9.
- A maioria desses síndromes surgem na infância. As epilepsias de lobo temporal que são mais
tardias
Epilepsias generalizadas idiopáticas
• quatro síndromes epilépticas bem estabelecidas:
• Epilepsia Ausência da Infância: é desencadeada por hiperventilação, fica inconsciente,
mas não perde o tônus postural, mas fica fazendo movimentos mastigatórios, olhos parados
• Epilepsia Ausência Juvenil
• Epilepsia Mioclônica Juvenil: tem um bom prognóstico, há as mioclonias, é muito sensível à
privação de sono
• Epilepsia com Crises Tônico-clônicas
(anteriormente conhecida como Epilepsia com Crises Tônico-clônicas do Despertar, mas foi
modificado após o reconhecimento de que estas crises podem ocorrer em qualquer horário do dia).
Denominação anterior: “sem etiologia conhecida ou suspeitada exceto por uma possível
predisposição hereditária”
Diagnóstico diferencial de crise de ausência: crise focal do lobo temporal na qual o paciente
apresenta alteração comportamental, mexe a mão e a boca, mas fica parado, irresponsivo. O
diagnóstico se faz pelo EEG e pela hiperventilação (diminui a PCO², alterando a função neuronal de
forma generalizada)
Epilepsia autolimitada e farmacorresponsiva
• Síndromes epilépticas mais leves como na epilepsia benigna com descargas centro-temporais
(EBDCT) e na epilepsia ausência da infância (EAI) → são autolimitadas e respondem muito bem à
medicação. Daí a importância de tratar para que não haja prejuízo escolar e cognitivo a longo prazo
• A despeito da aparência de uma síndrome benigna, a EBDCT pode ser associada a efeitos
cognitivos transitórios ou de longa duração e a EAI pode estar associada a consequências
psicossociais significativas tais como aumento do risco de gravidez precoce
Epilepsias Focais• Distúrbios unifocais e multifocais bem como crises envolvendo um hemisfério.
• Aponta para uma lesão estrutural do córtex cerebral cuja localização depende do tipo de crise
• São reversíveis se puder retirar a causa (operar tumor, tratar infecção)
• Uma variedade de tipos de crises: crises focais perceptivas, crises focais disperceptivas ou com
comprometimento da percepção, crises focais motoras e não motoras e crises focais evoluindo para
crises tônico-clônicas bilaterais.
• O EEG interictal tipicamente mostra descargas epileptiformes focais, mas o diagnóstico deve ser
feito com bases clínicas, corroborado pelos achados de EEG
- na epilepsia focal pode não ser visualizadas anormalidades no EEG porque o paciente pode
não ter crise durante o exame. Por isso, o diagnóstico pode ser clínico + neuroimagem em
busca da causa
icto neurológico = crise; evento súbito
interictal = entre as crises, no momento em que não está tendo crise
No AVC, se o paciente inicial com um quadro ictal significa que perdeu a consciência logo no início
do AVC.
Epilepsias com Crises Focais e Generalizadas Combinadas
• Pacientes que apresentam tanto crises focais como generalizadas.
• O diagnóstico de ambos os tipos de crises é feito com bases clínicas, corroborado pelas descargas
no EEG.
• Registros ictais são úteis mas não essenciais, quando é focal vale mais a descrição da crise.
• O EEG interictal pode mostrar tanto espícula-onda generalizada como descargas epileptiformes
focais, mas atividade epileptiforme não é exigida para o diagnóstico.
• Exemplos comuns nos quais ambos os tipos de crises estão presentes são as síndromes de Dravet
e de Lennox-Gastaut
Epilepsias focais
Etiologias: neuroimagem (RM quando disponível) - etiologia estrutural para a epilepsia do
paciente.
Os cinco grupos adicionais etiológicos são:
- Genético: podem até causar malformações cerebrais
- Infeccioso
- Metabólico
- Imune
Etiologia genética
• Resultado direto de uma mutação genética conhecida ou presumida na qual as crises epilépticas
constituem o sintoma central da doença.
1) História familiar de um doença autossômica dominante
• Síndrome da Epilepsia Neonatal Benigna Familiar: mutações em um dos genes do canal de
potássio, KCNQ2 ou KCNQ3
• Síndrome Epilepsia do Lobo Frontal Autossômica Dominante Noturna
2) Base molecular identificada, podendo implicar um único gene ou variações no número de cópias
como efeito maior
• O exemplo mais bem conhecido é o da síndrome de Dravet na qual mais de 80% dos
pacientes têm uma mutação patogênica do gene SCN1A.
• É notável que uma etiologia monogênica possa causar um espectro de epilepsias indo
desde formas leves até graves, tais como as mutações do SCN1A, associadas com a síndrome de
Dravet e a Epilepsia Genética com Crises Febris Plus (GEFS+), e possa ter implicações no
tratamento.
• Uma mutação em um gene específico pode não ser, por si só, capaz de predizer o
prognóstico.
• A interpretação de sua significância necessita ser considerada no contexto da apresentação
eletroclínica.
• Genético não é sinônimo de hereditário: a expressão dependerá da penetrância da
mutação.
• Geralmente começam com crises febris na infância e possuem uma evolução ruim com
regressão neurológica, e é difícil controle, paciente começa a perder os marcos do desenvolvimento
neuromotor que ele já tinha (deixa de andar, de sentar, de sustentar a cabeça)
Etiologia estrutural
• anormalidade estrutural: risco de estar associado com a epilepsia
• anormalidades visíveis em estudos de neuroimagem estrutural: tumor, acidente vascular cerebral,
trauma e infecção, ou genéticas como várias malformações do desenvolvimento cortical.
Exemplos:
• Crises mesiais do lobo temporal com esclerose hipocampal.
• Crises gelásticas (crises de riso) com hamartoma hipotalâmico (puberdade precoce, alteração do
centro da fome, do prazer, da recompensa, da sede),
• Síndrome de Rasmussen (etiologia provavelmente viral, mas desconhecida) e
Hemiconvulsão-hemiplegia-Epilepsia.
- Encefalite de Rasmussen: encefalite focal crônica (hemisférica); doença neurodegenerativa
inflamatória crônica; crises epilépticas recorrentes e déficit neurológico progressivo; etiologia
desconhecida (provavelmente viral). Clinicamente esses pacientes terão uma hemiparesia e
crises epilépticas focais motoras com generalização secundária. Na tomografia mostra um
lado do crânio menor com o ventrículo maior.
A base subjacente à anormalidade estrutural pode ser genética, adquirida ou ambas:
• Polimicrogiria (alteração de giros e malformação cerebral durante o desenvolvimento) pode ser
secundária a mutações em genes como o GPR56, ou adquirida, secundária a infecção intrauterina
pelo citomegalovírus.
• Causas estruturais adquiridas incluem a encefalopatia hipóxico-isquêmica, trauma, infecção e
acidente vascular cerebral.
• Quando uma etiologia estrutural tem uma base genética bem estabelecida como o complexo da
esclerose tuberosa, mutações nos genes TSC1 e TSC2 que codificam a hamartina e a tuberina
Normal X Polimicrogiria
Hamartoma hipotalâmico
Esclerose Hipocampal
O hipocampo do lado direito apresenta uma hiperintensidade. Ele tem a função de memória
do sistema límbico.
Essa esclerose hipocampal/mesial produz crises epilépticas na vida adulta focais-temporais
com alteração comportamental e pode haver generalização secundária. Tende a piorar ao longo da
vida e é indicado tratamento cirúrgico.
Microcefalia – Zika vírus
Lesões hiperintensas mostrando calcificações, sendo secundárias ao zika vírus
Etiologia infecciosa
• neurocisticercose
• tuberculose
• HIV
• malária cerebral
• panencefalite esclerosante subaguda: encefalite tardia induzida pelo vírus do sarampo
• toxoplasmose cerebral
• infecções congênitas como pelo Zika vírus e citomegalovírus
A ressonância mostra a forma cística do cisticerco (menos comum). No momento em que o
paciente toma Albendazol, faz um edema cerebral violento (hipertensão intracraniana).
Felizmente, o que é mais comum de encontrar são calcificações (mostrada na esquerda).
Uma calcificação frontal: crise focal frontal, podendo haver generalização secundária. Calcificação
parietal: crise disperceptiva. Calcificação occipital: crise que se inicia com alteração visual.
Neurocisticercose calcificada significa que já foi curada. Esse diagnóstico é possível com uma
tomografia sem contraste.
Esclerose Tuberosa
Neuroectoderma = mesmo tecido embrionário que gera a pele e o sistema nervoso. Existem
doenças chamadas facomatoses que atingem tanto o sistema nervoso central quanto a pele, como a
neurofibromatose, a esclerose tuberosa (lesões na face e no cérebro) → importante investigar
quando o paciente se apresenta com hemangioma na face ou com lesões parecendo acne.
Doença hereditária que gera um quadro epiléptico com crises focais. Paciente não nasce com
as lesões, nasce com a predisposição genética e vai desenvolvendo no decorrer da vida
Sturge Weber
Também é uma doença facomatosa, gerando hemangiomas na face e no tecido cerebral, o
que pode produzir crise epiléptica. O paciente, geralmente, já nasce com as lesões.
Neoplasias primárias
A primeira imagem mostra um meningioma, que é um tumor benigno de meninge que
comprime o tecido cerebral no lobo frontal, gerando crise epiléptica.
A segunda imagem mostra um glioma, que é tumor primário do sistema nervoso central,
tumor de células da glia, produz edema, desvia a linha média e pode produzir crise epiléptica como
primeiro sintoma
Metástases cerebrais
Muitos tumores, gerando muito edema. O que faz pensar em metástase é a atividade
inflamatória.
AVC
AVC isquêmico pegando córtex cerebral pela artéria cerebral média
AVC hemorrágico da lentículas estriadas pela artéria cerebral média
Tanto os quadros de isquemia quanto de hemorragia podem dar crises epilépticas, mas é
mais frequente no AVCh.
A epilepsia pode ser sequela de AVC.
A epilepsia no idoso ou é sequela de trauma ou de AVC. No AVC isquêmico só trata se
houver a crise.
Traumatismo crânio-encefálico
Tanto hematoma subdural(comprimindo a massa encefálica), quanto contusões cerebrais
(hemorragia intracerebral). O sangue tem a grande capacidade de irritar o neurônio. Por isso:
SEMPRE ENTRAR COM ANTICONVULSIVANTE PROFILÁTICO EM AVCH, HEMORRAGIAS
SUBRACNÓIDEAS E TRAUMAS COM HEMORRAGIA.
Etiologia metabólica
• distúrbio metabólico conhecido ou presumido: o sintoma central do distúrbio são as crises
epilépticas.
• porfiria, uremia, disglicemias (hiper e hipoglicemia), aminoacidopatias (fenilcetonúria) ou as crises
por dependência de piridoxina (vitamina B6).
- um diabetes mal controlado gera crises epilépticas subentrantes que não melhoram com
anticonvulsivantes
• Podem ter um defeito genético: a grande maioria das epilepsias metabólicas terão uma base
genética, mas algumas podem ser adquiridas tais como a deficiência cerebral de folato.
• A identificação de causas metabólicas específicas de epilepsia é importante devido às implicações
terapêuticas específicas e a sua potencial prevenção de comprometimento intelectual.
Etiologia imune
• evidência de uma inflamação imuno-mediada no sistema nervoso central.
• Exemplos: encefalite anti-receptor NMDA e a encefalite anti-LGI1; vasculite por lúpus, por síndrome
do anticorpo antifosfolípide
Etiologia focal de etiologia desconhecida
• Há vários pacientes com epilepsia para os quais as causas de suas crises ainda não são
conhecidas.
• Nesta categoria não é possível fazer um diagnóstico específico além da semiologia eletroclínica
básica tal como na epilepsia do lobo frontal.
• O grau de definição da etiologia vai depender da avaliação disponível para aquele paciente
Epilepsia de mecanismo desconhecido
• O termo “Desconhecido” é usado para denotar a situação na qual sabe se que o paciente tem
epilepsia mas o clínico é incapaz de determinar se o tipo de epilepsia é Focal ou Generalizado
porque há pouca informação disponível.
Encefalopatias epilépticas e do desenvolvimento (Berg et al)
• Ocorrem geralmente por mutações nos canais de sódio, de cálcio, de potássio.
• A atividade epiléptica por si contribui para comprometimentos cognitivo e comportamental grave,
além daqueles que seriam esperados pela patologia isolada (por ex. Malformação do
desenvolvimento cortical).
• A atividade epileptiforme abundante interfere no desenvolvimento levando a alentecimento
cognitivo: regressão, alt psiquiátricas e comportamentais.
• Síndrome de West, na qual há marcada heterogeneidade genética
• Encefalopatia epiléptica com ponta-onda contínua durante o sono
• Encefalopatia hipóxico-isquêmica ou acidente vascular cerebral
• Doenças de genes únicos, como a encefalopatia por CDKL5 e a encefalopatia por CHD2 e genes
SCN1A, SCN2A, SLC2A1, KCNQ2, KCNA2 e CHD2.
Comorbidades
A epilepsia pode não gerar nenhuma consequência se ela for controlada com os
anticonvulsivantes, quando ela não é controlada gera:
• problemas de aprendizado, psicossociais e comportamentais (aumenta as chances se houver lesão
estrutural)
• variam em tipos e gravidade: dificuldades de aprendizado sutis até incapacidade intelectual, a
características psiquiátricas como transtorno do espectro autista e depressão.
• Nas epilepsias mais graves: déficits motores como paralisia cerebral ou deterioração na marcha,
transtornos de movimento, escoliose, alterações de sono, e doenças gastrointestinais.
Diagnóstico Diferencial das Epilepsias
• Vale ressaltar que durante a entrevista do paciente e/ou acompanhante, mesmo que eles relatem
um episódio convulsivo, o que pode ser bastante assustador, é importante o médico questionar se
não houve manifestações iniciais focais precedendo a convulsão, dado este que sugere fortemente
uma crise de início focal e generalização secundária e pode localizar a região cerebral de início do
evento epiléptico.
• As situações clínicas que mais comumente são confundidas com epilepsia são:
• Síncope
• Crise Não Epiléptica Psicogênica
• Parassonias
Síncope
• mais comumente em adolescentes e mulheres jovens, geralmente precedidos por sensação de
tontura, escurecimento visual e desfalecimento, e acompanhados por palidez, sudorese fria e
náusea. Pode ser precipitada por estímulo como permanecer de pé, micção ou tosse e emoção forte
(sangue, ferimento, dor e etc.).
• Quando prolongada ou com o paciente sendo mantido sentado, pode ser acompanhada de
mioclonias e crise tônica, raramente relaxamento de esfíncteres.
• Nos casos duvidosos pode ser necessário realizar o teste de inclinação (Tilt Test) para suporte no
diagnóstico.
Aura = crise focal
Crise Não Epiléptica Psicogênica (CNEP)
• Paciente possui um quadro psiquiátrico (depressão, ansiedade)
• Pode-se caracterizar CNEP como um tipo de reação de base psicogênica, inconsciente, em
pessoas com transtornos dissociativos ou de personalidade, podendo se assemelhar a uma crise
epiléptica.
• presença de “audiência”e são desencadeados por estresse emocional.
• O padrão-ouro para confirmação diagnóstica de CNEP é o registro vídeo-eletroencefalográfico dos
eventos
Características Clínicas do CNEP
• 1. Início e término gradual
• 2. Longa duração da crise (mais de 2 minutos, geralmente 5 a 10 minutos)
- tem plateia (pessoas observando)
• 3. Crise induzida por sugestão ou estresse
• 4. Atividade motora não coordenada, fora de fase ou com movimentos de báscula de quadril
(desordenada)
• 5. Progressão não fisiológica, sem comprometimento musculatura facial, descontínua e
• 6. Olhos fechados, flutter palpebral ou resistência a abertura ocular forçada*
• 7. A movimentação é modificada pela ação do examinador *
• 8. Choro durante ou após a crise
• 9. Consciência preservada (“ouve longe”, “não consegue falar”, “sente que está distante”) durante e
imediatamente após o término da crise * * mais relevantes, diferentemente da epilepsia que o
paciente não lembra de nada
- Pode ocorrer esse crise em paciente que tem epilepsia (nesse caso faz-se um EEG intercrise
e vê-se que não há atividade elétrica anormal)
Parassonias
• Parassonias do não-REM (despertar confusional, terror noturno, sonambulismo, bruxismo,
transtorno comportamental do sono → crises que aparecem apenas durante o sono).
• mais comuns em crianças pré-escolares e gradualmente diminuem em frequência na 1ª década de
vida, mas podem persistir na vida adulta e serem confundidos com crises epilépticas.
• Há crises epilépticas que ocorrem apenas durante o sono
• Nos casos duvidosos, a polissonografia noturna com registro de Vídeo-EEG dos eventos
definirá o quadro.
Tratamento das Epilepsias
Farmacológico
• O controle das crises pode ser alcançado em 50% dos casos com as medicações disponíveis na
Atenção Básica (carbamazepina (focal), fenobarbital, fenitoína e valproato (generalizada) em
monoterapia e em dose adequada)
• Os restantes devem ser avaliados em conjunto com centros secundários, que podem controlar em
mais 20% e os terciários especializados em epilepsia, que podem ampliar o controle em mais 10%
dos casos com medicações.
• Um incremento no controle das crises de aproximadamente 20% pode ser obtido com duoterapia
usando drogas de primeira geração ou com associação de drogas de segunda geração - topiramato,
lamotrigina, gabapentina, clobazam ou clonazepam
• Critérios de Inclusão
a. Presença de duas ou mais crises epilépticas espontâneas;
b. Intervalo entre as crises superior a 24 horas;
c. Ocorrência de crises não relacionada a alteração cerebral aguda, como febre, infecção,
traumatismos, intoxicação ou desequilíbrio metabólico ou álcool.
• Critérios de Exclusão
1 - Crise convulsivas exclusivamente febris em pacientes com 6 meses a 5 anos de idade
(trata apenas a febre com supositório de dipirona).
2 - Crises sintomáticas agudas decorrentes de alterações hidroeletrolíticas (hipo ou
hipernatremia, hipocalcemia), metabólicas (hipoglicemia), traumatismos, intoxicação exógena (álcool
e outras drogas)
• O ideal é o tratamento com apenas um antiepiléptico (monoterapia) – (melhora a eficácia e reduz
os efeitos adversos).
• O tratamento deve ser iniciado com metade da dose alvo e vai aumentando de 20 a 25% acada 2
semanas, até atingir a dose alvo.
• Caso não haja melhora ou tenha muitos efeitos colaterais, desescalona o primeiro e entra com um
segundo. Caso não funcione, parte para a associação de 2 medicamentos. Se a associação não der
certo, passa para a cirurgia. Os que terão mais benefícios são os que consegue-se delimitar bem
onde está a lesão, para fazer a ressecção do local
• Até 50% dos pacientes poderão ter efeitos adversos no início do tratamento, usualmente leves e
transitórios. Em cerca de 20%, o antiepiléptico terá que ser substituído por efeitos colaterais
persistentes e indesejáveis.
• Até 30 % dos pacientes poderão ter crises esporádicas nos seis primeiros meses tratamento, antes
que seja atingida a dose ideal de antiepiléptico para aquele paciente.
• Se não controlou as crises com até 2 antiepilépticos adequadamente escolhidos, tolerados e
utilizados na dose máxima tolerada, a chance de controlar com outro antiepiléptico é inferior a 10% -
está caracterizado a refratariedade medicamentosa
• O tratamento cirúrgico de epilepsia, quando possível, pode controlar as crises em 50 a 80% dos
pacientes com epilepsia refratária, porém apenas 50% deles poderão ficar sem DAE.
• Para considerarmos que o paciente tem crises controladas é necessário que ele permaneça sem
crises epilépticas por no mínimo 1 ano ou por um período de tempo superior a 3 vezes o intervalo
médio entre as suas crises, valendo o maior período.
• A duração mínima do tratamento é de 2 anos sem crise
• Os pacientes que permaneceram em remissão por no mínimo 2 anos tem 60% de chances de
persistirem sem crises após a retirada da DAE. O risco de recidiva das crises reduz ao longo do 1º
ano após a retirada do DAE. 40% delas ocorrerão durante a retirada, 60% nos primeiros 6 meses e
90% delas no primeiro ano.
• Retirar o medicamento se: paciente sem crise por no mínimo 1 ano ou um período de tempo maior
que 3 vezes o intervalo médio entre as crises que ele tinha (até 60% dos pacientes não apresentam
mais crises depois da interrupção do tratamento) → se generalizada e não há lesão estrutural
- com exceção dos pacientes que possuem lesão focal. Nesses casos, como a lesão vai
continuar, não tira o remédio
• Na insuficiência renal e hepática grave, a dose diária de antiepiléptico deve ser reduzida devido à
metabolização renal e hepática (principalmente).
• A privação de sono é um fator facilitador para crise epiléptica. Insista em um sono regular. E não
ingerir bebida alcoólica.
• Se o paciente está com 3 drogas em dose máxima e não teve um controle → 30% dos epilépticos.
Esses são candidatos à cirurgia para epilepsia (cirurgia que vai lesar, fazer uma ablação na área que
está gerando a descarga anormal) que pode ser que controle ou não
Como Iniciar o Tratamento
• Escolher uma Droga antiepiléptica (DAE) conforme o tipo suspeitado de epilepsia, a sua
experiência pessoal e o perfil de efeitos adversos da DAE
• Definir uma dose-alvo de DAE a ser atingida que deverá controlar as crises.
• Iniciar com ½ da dose alvo em 1 a 3 tomadas conforme as características e a vida média da DAE.
• Aumentar gradualmente (20 a 25%) a dose diária a cada 7 a 15 dias (conforme a meia vida da
DAE) até atingir a dose-alvo
• Se persistirem as crises e o paciente apresenta efeitos adversos intoleráveis você atingiu a dose
máxima tolerada e comprovou que o paciente não é responsivo a este DAE, devendo modificar o
esquema antiepiléptico em uso.
• Reduza a dose diária deste DAE até aquela que não provocava efeitos adversos e inicie uma nova
DAE.
DAE de primeira escolha
• Nas crises epilépticas focais com ou sem generalização, a 1ª escolha é a carbamazepina (outras
opções são fenitoína, fenobarbital e valproato).
• Nas crises epilépticas generalizadas, a 1ª escolha é o valproato (outras opções são fenobarbital e
fenitoína).
DAEs disponíveis
• Carbamazepina: comprimidos de 200mg, suspensão oral de 20 mg/mL.
• Clobazam: comprimidos de 10 mg
• Nitrazepam: comprimidos de 5mg
• Etossuximida: xarope de 50 mg/mL
• Fenitoína: comprimidos de 100 mg e solução injetável amp. 5mL com 50mg/mL. Gera muita acne
e alteração na gengiva
• Fenobarbital: comprimidos de 100 mg e solução oral 40 mg/mL e solução injetável amp. 1mL com
200mg/mL → é o que é usado em pacientes que pretendem engravidar logo (pode dar lábio
leporino); em crianças atrasa o desenvolvimento escolar, mas em adultos e idosos pode ser usado
• Ácido valpróico: comprimidos ou cápsulas de 250 mg, comprimidos de 500 mg e solução e
xarope de 50 mg/mL e solução injetável ampolas de 5mL com 100mg/mL
• Gabapentina: cápsulas de 300 e 400 mg (inibe canais de cálcio)
• Topiramato: comprimidos 25, 50 e 100 mg
• Lamotrigina: comprimidos 25 e 100 mg
• Vigabatrina: comprimidos de 500 mg
• Oxcarbazepina: suspensão oral 60mg/ml frasco com 100ml
• Lacosamida: comprimidos de 50mg
• Levetiracetam: comprimidos de 250mg e 750mg e solução oral de 100mg/ml
Os fármacos antiepilépticos/anticonvulsivantes têm como
objetivo inibir a despolarização neuronal anômala, em vez de
corrigir a causa do fenômeno. Três principais mecanismos de
ação são:
- inibição da função dos canais de sódio
- inibição da função dos canais de cálcio nas sinapses
glutamatérgicas
- inibição de receptores de glutamato
- potencialização da ação do GABA
Fármacos que inibem Canais de Na+: Carbamazepina
- Carbamazepina é amplamente usada no tratamento de epilepsia
- Atua principalmente por bloqueia uso-dependente dos canais
de sódio
- inibe a fase ascendente do potencial de ação
- Eficaz na maioria das formas de epilepsia (exceto nas crises
de ausência); particularmente eficaz na epilepsia psicomotora
- Potente agente indutor, portanto muitas interações
medicamentosas
- Também útil na dor neuropática como neuralgia do trigêmeo e
alteração bipolar
- Baixa incidência de efeitos adversos:
- sedação
- ataxia
- alterações mentais
- retenção hídrica
Fármacos que inibem Canais de Na+: Fenitoína
- A fenitoína é eficaz em muitas formas de epilepsia, exceto em
crises de ausência
- Atua principalmente por bloqueio uso-dependente dos canais
de sódio
- O metabolismo mostra cinética de saturação e, portanto, a
concentração plasmática por variar amplamente; é necessário,
portanto, fazer a monitorização pois interações medicamentosas
são comuns
- Os principais efeitos adversos são:
- confusão
- hiperplasia gengival
- erupções cutâneas
- anemia
- teratogênese
Fármacos que inibem os Canais de Ca²+: Valproato
- Não tem relação química com outros antiepilépticos e foi
descoberto por acidente
- Excitotoxicidade dos canais de cálcio
- Utilizado em transtorno de humor para estabilizar o humor
- Eficaz em muitas formas de epilepsia, incluindo crises de
ausência
- O valproato apresenta múltiplos possíveis mecanismos de
ação, incluindo inibição fraca das GABA transminase
(aumentando a quantidade de GABA), algum efeito sobre os
canais de sódio e cálcio do tipo T
- Diminui a liberação de neurotransmissores e diminui a
despolarização lenta dos canais de cálcio
- Relativamente poucos efeitos adversos
- calvície
- teratogenicidade
- lesão hepática (grave, mas rara)
Fármacos que inibem Canais de Na+: Lamotrigina
- Embora sem relação química, assemelha-se à fenitoína e à
carbamazepina em seus efeitos farmacológicos
- Seu mecanismo de ação semelhante, a lamotrigina tem perfil
terapêutico mais amplo que os fármacos mais antigos, com
eficácia significativa contra crises de ausência e
tônico-clônicas
- Seus principais efeitos adversos são:
- náuseas
- tontura
- ataxia
- reações de hipersensibilidade
Fármacos que inibem os canais de Ca+2: Etossuximida
- É usada para tratar crises de ausência, porém pode exacerbar outras formas
- O principal efeito é a inibição dos canais de cálcio tipo T, que podem desempenhar um papel
na geração do ritmo de disparo nos neurônios talâmicos de retransmissão, que produzem o
EEG padrão de pico e ondas características das crises de ausência.
- Atua em locais específicos do tálamo, onde é gerada a crise generalizada
- Relativamente poucos efeitosadversos, principalmente náuseas e anorexia
Fármacos que inibem os receptores de glutamato: Felbamato
- É ativo em muitos modelos de crises em animais e tem espectro
clínico mais amplo que os antiepilépticos mais antigos
- Seu mecanismo de ação no nível celular é incerto. Acredita-se
que interage com receptores de NMDA.
-
- Seus efeitos adversos são:
- náuseas
- irritabilidade
- insônia
- Ocasionalmente causa reações intensas, resultando em anemia
aplástica ou hepatite
- Por esta razão, seu uso recomendado limita-se a uma forma de
epilepsia intratável (por exemplo em crianças com síndrome de Lennox-Gastaut), não
responsiva a outros fármacos → última escolha (crises epilépticas não responsivas → 2º
linha) principalmente devido a efeitos colaterais graves
Crise epiléptica não responsiva: uso de 2 drogas em dose máxima
Fármacos que aumentam a inibição mediada pelo GABA: Benzodiazepínicos
- Potencializam a neurotransmissão gabaérgica e, por isso, é
eficaz no tratamento de crises agudas → aumentam a
inibição do GABA, abrindo canais de cloro, estabilizando a
membrana
- O clonazepam é o único entre os benzodiazepínicos em que
em adição à sua atuação sobre o receptor GABA, ele também
inibe os canais de cálcio do tipo T
- Lorazepam é usado no tratamento do estado de mal
epiléptico (crise). A vantagem no estado de mal epiléptico é
que atua muito rapidamente, em comparação com outros
antiepilépticos
- estado de mal epiléptico: paciente não consegue sair
da crise (ou dura mais de 5 minutos ou é bem constante)
- Com a maioria dos benzodiazepínicos, o efeito sedativo é pronunciado demais para que seja
utilizado na terapia antiepiléptica de manutenção, e ocorre o desenvolvimento de tolerância
após 1 - 6 meses. Portanto, só usa durante a crise
Os pacientes em tratamento devem ser acompanhados com hemograma, função hepática e
função renal
Dietoterapia - Epilepsia Refratária
• dieta cetogênica: alto teor de gordura, baixo teor de carboidratos e teor normal de proteínas →
muito difícil de fazer.
- causa cetose levando a um rebaixamento da atividade elétrico neuronal, gerando moleza,
cefaleia, queda do rendimento escolar
• benefícios: redução na frequência de crises (até de 90%), possibilidade de suspensão de
medicação e melhora cognitiva.
• Não há idade preconizada para seu início, mas crianças e adolescentes(até 18 anos) têm melhor
resposta e melhor adesão.
• elaborada pelo nutricionista, supervisionado pelo médico neurologista ou neuropediatra
• tempo mínimo: 3 meses, com cetonúria positiva (mantém por 2 a 3 anos).
• Complicações: náuseas, vômitos, constipação.
• O paciente precisa de suplementação vitamínica e de minerais
Tratamento cirúrgico
• Pacientes que falharam no controle de crises mesmo após uso de duas drogas (primeira, segunda
e terceira geração) em doses apropriadas e adequadamente selecionadas.
• Pacientes em que o tratamento cirúrgico foi contra indicado, após avaliação em centros terciários.
• Pacientes com status epilepticus superrefratário

Mais conteúdos dessa disciplina