Logo Passei Direto
Buscar
Material
páginas com resultados encontrados.
páginas com resultados encontrados.
left-side-bubbles-backgroundright-side-bubbles-background

Crie sua conta grátis para liberar esse material. 🤩

Já tem uma conta?

Ao continuar, você aceita os Termos de Uso e Política de Privacidade

left-side-bubbles-backgroundright-side-bubbles-background

Crie sua conta grátis para liberar esse material. 🤩

Já tem uma conta?

Ao continuar, você aceita os Termos de Uso e Política de Privacidade

left-side-bubbles-backgroundright-side-bubbles-background

Crie sua conta grátis para liberar esse material. 🤩

Já tem uma conta?

Ao continuar, você aceita os Termos de Uso e Política de Privacidade

left-side-bubbles-backgroundright-side-bubbles-background

Crie sua conta grátis para liberar esse material. 🤩

Já tem uma conta?

Ao continuar, você aceita os Termos de Uso e Política de Privacidade

Prévia do material em texto

Prova N2
Cálculo aplicado várias variáveis
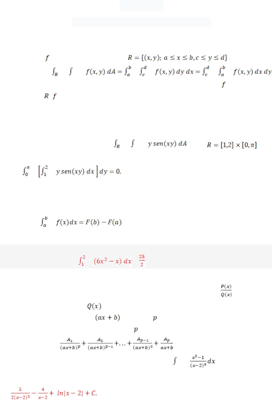
1) Considere o Teorema de Fubini:
 
“Se  for contínua no retângulo , então . De modo mais geral, esse resultado vale se supusermos que  seja limitada em ,  tenha descontinuidades apenas em um número finito de curvas suaves e que a integral iterada exista”.
 
STEWART, J. Cálculo. São Paulo: Cengage Learning, 2016. v. 2, p. 890.
 
Considere a integral dupla , onde . Com relação ao Teorema de Fubini, assinale a alternativa correta:
R: 
2) Existem dois tipos de integrais: as integrais indefinidas e as integrais definidas. O resultado de uma integral definida pode ser obtido, usando-se o Teorema Fundamental do Cálculo e o seu resultado é sempre numérico, isto é, . A respeito do cálculo de integrais definidas, assinale a alternativa correta.
· R: 
O resultado da integral  é .
3) No método de frações parciais para integrar funções racionais , considere que os fatores de  são todos lineares e alguns são repetidos, isto é, suponha que o fator  se repetia  vezes. Ao corresponder a esse fator que se repete, haverá a soma de  frações parciais: . Diante do exposto, assinale a alternativa que apresenta o cálculo da integral .
R: 
4) A área de uma região no plano  também pode ser obtida por meio da integral dupla, na qual consideramos que . Na região retangular , temos que  e , onde  e  são funções da variável , com para todo . Assim, podemos escrever . De acordo com a teoria de integrais duplas, assinale a alternativa que corresponde à área da região do plano  limitada pelas curvas  e .
· R: 
· 
5) Leia o excerto a seguir:
 
“A Lei de Ohm diz que a queda na voltagem por causa do resistor é . A queda de voltagem por causa do indutor é . Uma das Leis de Kirchhoff diz que a soma das quedas de voltagem é igual à voltagem fornecida . Então. temos , que é uma equação diferencial de primeira ordem que modela a corrente no instante ” (STEWART, 2016, p. 537).
 
STEWART, J. Cálculo. São Paulo: Cengage Learning, 2016. 2 v.
 
Considerando uma resistência de , uma indutância de  e uma voltagem constante de , assinale a alternativa que corresponde à expressão da corrente do circuito  quando o interruptor é ligado em .
· R: 
.
· 6)De acordo com Sodré (2003, p. 5), “se são conhecidas condições adicionais, podemos obter soluções particulares para a equação diferencial e, se não são conhecidas condições adicionais, poderemos obter a solução geral”. Uma condição adicional que pode ser conhecida é o valor da função em um dado ponto. Assim, uma equação diferencial mais essa condição adicional é chamada de Problema de Valor Inicial (PVI).
 
SODRÉ, U. Notas de aula. Equações diferenciais ordinárias,2003.  Disponível em: http://www.uel.br/projetos/matessencial/superior/pdfs/edo.pdf. Acesso em: 20 dez. 2019.
 
Assinale a alternativa que apresenta a solução do PVI: , .
 R: 
.
7) A oscilação de uma mola pode ser chamada de movimento harmônico simples, o qual pode ser descrito pela equação , onde  é uma função do tempo  que indica a posição da massa,  é a massa da mola e  é a constante elástica. Para uma mola de comprimento natural de 0,75 m e 5 kg de massa, é necessária uma força de 25 N para mantê-la esticada até um comprimento de 1 m. Se a mola for solta com velocidade nula ao ser esticada em um comprimento de 1,1 m, qual é a posição da massa após  segundos?
 
Assinale a alternativa correta. (Dica: Lei de Hooke: ).
· R: 
.
· 8) A derivada direcional é uma taxa de variação que nos diz qual é o valor de aumento ou decrescimento da função em uma dada direção a partir de um ponto. Considere, então, a seguinte situação: A temperatura em cada ponto de uma placa retangular é determinada por meio da função .
 
Assinale a alternativa que representa a taxa de variação da temperatura no ponto  na direção do vetor .
 
 R: 
A temperatura está aumentando à taxa de aproximadamente 9,93 unidades.
9) A função custo é o custo da produção de  unidades de certo produto e sua derivada é a funçãocusto marginal. Já a função custo médio é a razão da função custo com a quantidade de unidades produzidas, ou seja, . Considere a função custo de produção de certa mercadoria. Nesse sentido, assinale a alternativa que apresenta a produção que minimizará o custo médio.
· R: 
400 unidades.
· 
· 10) As equações diferenciais não possuem exatamente uma regra de resolução. O método de resolução de uma equação diferencial depende de algumas características apresentadas pela mesma. Por exemplo, equações diferenciais escritas na forma  são ditas equações diferenciais separáveis e resolvidas usando a integração em ambos os membros da igualdade.
 
Com base no método de resolução de equações diferenciais separáveis, analise as afirmativas a seguir:
 
I. A solução da equação  é .
II. A solução da equação  é  .
III. A solução da equação  é .
IV. A solução da equação  é .
 
É correto o que se afirma em:
 
 R: 
I e III, apenas.

Mais conteúdos dessa disciplina