Logo Passei Direto
Buscar

ATIVIDADES DE REVISÃO MATRIZES E SISTEMAS LINEARES

User badge image
Caroline Rosa

em

Ferramentas de estudo

Questões resolvidas

Um adulto deve ingerir diariamente 0,8g de proteína para cada quilo de seu peso. Um vegetariano consome, em média, 20% menos proteína do que um não vegetariano. Sabendo que um adulto não vegetariano pesa 70kg e um vegetariano pesa 60kg, calcule a quantidade de soja, em gramas, que ele deverá ingerir num determinado dia em que tenha consumido 400g de batata. Estabeleça uma equação que relacione as variáveis x e y.


(UNI-Rio) Um laboratório farmacêutico fabrica 3 tipos de remédios utilizando diferentes compostos. Considere a matriz A = (aij) dada a seguir, onde aij representa quantas unidades do composto j serão utilizadas para fabricar uma unidade do remédio do tipo i. A = [1 2 3; 2 5 3; 0 1 4]. Quantas unidades do composto 2 serão necessárias para fabricar 3 remédios do tipo 1; 2 remédios do tipo 2 e 5 remédios do tipo 3?


De acordo com o gráfico a seguir, podemos afirmar que:


a-) o sistema é impossível (S. I.).
b-) o sistema é possível e indeterminado (S. P. I.).
c-) As retas são paralelas.
d-) O sistema é possível e determinado (S. P. D.) e as retas se cruzam no ponto (1, 0).
e-) O sistema é possível e determinado (S. P. D.) e as retas se cruzam no ponto (3, -1).

Qual a solução do sistema { 7???? − 3???? = 20, −5???? + ???? = 4?

Material
páginas com resultados encontrados.
páginas com resultados encontrados.
left-side-bubbles-backgroundright-side-bubbles-background

Crie sua conta grátis para liberar esse material. 🤩

Já tem uma conta?

Ao continuar, você aceita os Termos de Uso e Política de Privacidade

left-side-bubbles-backgroundright-side-bubbles-background

Crie sua conta grátis para liberar esse material. 🤩

Já tem uma conta?

Ao continuar, você aceita os Termos de Uso e Política de Privacidade

left-side-bubbles-backgroundright-side-bubbles-background

Crie sua conta grátis para liberar esse material. 🤩

Já tem uma conta?

Ao continuar, você aceita os Termos de Uso e Política de Privacidade

Questões resolvidas

Um adulto deve ingerir diariamente 0,8g de proteína para cada quilo de seu peso. Um vegetariano consome, em média, 20% menos proteína do que um não vegetariano. Sabendo que um adulto não vegetariano pesa 70kg e um vegetariano pesa 60kg, calcule a quantidade de soja, em gramas, que ele deverá ingerir num determinado dia em que tenha consumido 400g de batata. Estabeleça uma equação que relacione as variáveis x e y.


(UNI-Rio) Um laboratório farmacêutico fabrica 3 tipos de remédios utilizando diferentes compostos. Considere a matriz A = (aij) dada a seguir, onde aij representa quantas unidades do composto j serão utilizadas para fabricar uma unidade do remédio do tipo i. A = [1 2 3; 2 5 3; 0 1 4]. Quantas unidades do composto 2 serão necessárias para fabricar 3 remédios do tipo 1; 2 remédios do tipo 2 e 5 remédios do tipo 3?


De acordo com o gráfico a seguir, podemos afirmar que:


a-) o sistema é impossível (S. I.).
b-) o sistema é possível e indeterminado (S. P. I.).
c-) As retas são paralelas.
d-) O sistema é possível e determinado (S. P. D.) e as retas se cruzam no ponto (1, 0).
e-) O sistema é possível e determinado (S. P. D.) e as retas se cruzam no ponto (3, -1).

Qual a solução do sistema { 7???? − 3???? = 20, −5???? + ???? = 4?

Prévia do material em texto

ATIVIDADES DE REVISÃO: MATRIZES E SISTEMAS LINEARES 
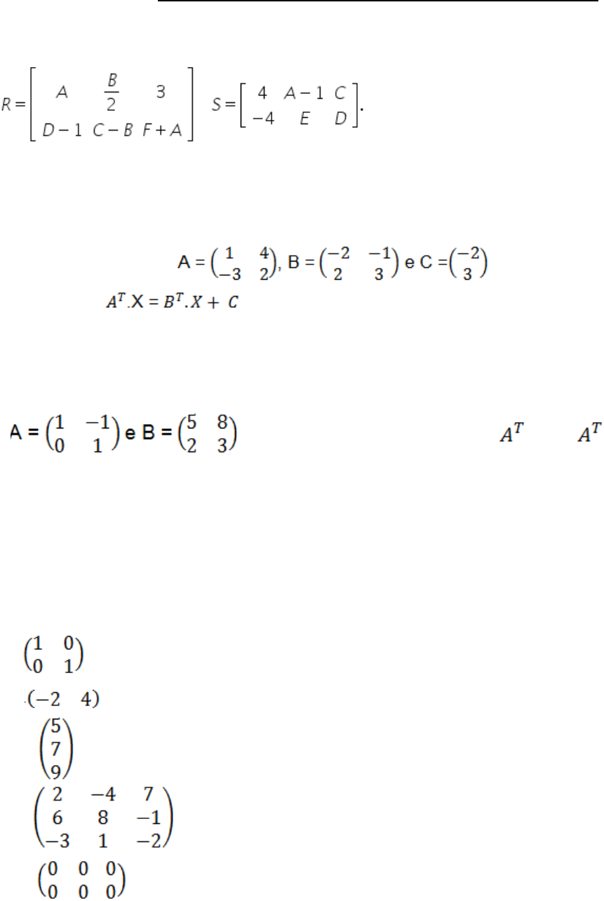
1-) Para que duas matrizes sejam iguais, elas precisam ser do mesmo tipo e todos os elementos de 
mesma posição de uma devem ser iguais ao da outra. 
 
 Determine os valores de A, B, C, D, E e F para que as matrizes R e S sejam iguais. 
 
2-) Dadas as matrizes . 
 Sabendo que determine a matriz X. 
 
3-) Seja A e B matrizes genéricas quadradas, invertíveis e de ordem n. 
Determine X tal que X.B - A = B . , onde é a transposta da 
matriz A. 
 
4-) Observe as matrizes e suas características. 
 Cada matriz com uma característica específica recebe um nome, abaixo temos a característica 
associada ao nome de definição. 
 
 Características das matrizes x Nome da matriz 
 I - matriz de ordem 2. - Matriz nula 
 II - matriz 1 x 2. - Matriz linha 
 III - matriz 3 x 1. – Matriz coluna 
 IV - matriz de ordem 3. – Matriz quadrada 
 V - matriz 2x3. - Matriz identidade 
 
 De acordo com as definições e características de matrizes podemos afirmar que: 
a) I e V estão erradas 
b) II e III estão erradas 
c) Somente IV está correta 
d) Todas estão corretas 
e) Todas estão erradas 
5-) Para satisfazer a igualdade é necessário quais valores para a, b e c? 
[
𝑎 + 𝑏 2
4 𝑎 − 𝑏
] = [
7 𝑐
𝑐2 1
] 
 
6-) Um dos maiores acontecimentos esportivos é a Olimpíada. A cada quatro anos, atletas de 
diferentes nacionalidades disputam os jogos em uma cidade sede. A tabela abaixo demonstra o 
número de medalhas que o Brasil vem conquistando nas últimas quatro olimpíadas. 
 
a-) Escreva uma matriz A que represente as informações da tabela. 
b) Escreva a matriz 𝐴𝑡 . 
c) As linhas da matriz A apresentam as mesmas informações da matriz 𝐴𝑡? Por quê? 
d) Na matriz 𝐴𝑡 o que representam as: 
•Colunas? 
•Linhas? 
e) Construa uma tabela com base em 𝐴𝑡 
 
7-) A população de uma cidade A é quatro vezes maior que a população da cidade B. Somando a população 
das duas cidades, temos o total de 250.000 habitantes. Qual a população da cidade B? 
 
8-) (UENF) Para preencher sua necessidade diária de 300g de carboidratos, um adulto ingere um 
tipo de alimenta- ção mista que consiste em batatas e soja. 
Admita que 100g de batata e 100g de soja contêm, respectivamente, 19g e 35g de carboidratos, e que x e y 
representam as quantidades diárias, em gramas, que esse adulto irá consumir, respectivamente, de batatas e 
soja. 
Considerando a necessidade diária de carboidratos desse adulto: 
a-) Calcule a quantidade de soja, em gramas, que ele deverá ingerir num determinado dia em 
que tenha consumido 400g de batata; 
b-) Estabeleça uma equação que relacione as variáveis x e y. 
 
8-) (UNI-Rio) Um laboratório farmacêutico fabrica 3 tipos de remédios utilizando diferentes compostos. 
Considere a matriz A = (aij) dada a seguir, onde aij representa quantas unidades do composto j serão 
utilizadas para fabricar uma unidade do remédio do tipo i. 
𝐴 = [
1 2 3
2 5 3
0 1 4
] 
 
Quantas unidades do composto 2 serão necessárias para fabricar 3 remédios do tipo 1; 2 remédios 
do tipo 2 e 5 remédios do tipo 3? 
 
9-) (UFF) Na perfumaria XEROBOM, o xampu, o condicionador e a loção de sua fabricação estão 
sendo apresenta- dos aos clientes em três tipos de conjuntos: 
 
Conjunto 
 Preço 
2 loções e 3 xampus R$ 38,00 
4 xampus e 2 condicionadores 3 R$ 26,00 
2 loções e 1 condicionado R$ 31,00 
 
 
 
Determine o preço de cada um desses produtos, considerando que o preço individual de cada 
produto é o mesmo, independente do conjunto ao qual pertence. 
 
10-) De acordo com o gráfico a seguir, podemos afirmar que: 
a-) o sistema é impossível (S. I.). 
b-) o sistema é possível e indeterminado (S. P. I.). 
c-) As retas são paralelas. 
d-) O sistema é possível e determinado (S. P. D.) e as 
retas se cruzam no ponto (1, 0). 
e-) O sistema é possível e determinado (S. P. D.) e as 
retas se cruzam no ponto (3, -1). 
 
 
11-) Qual a solução do sistema {
 7𝑥 − 3𝑦 = 20
−5𝑥 + 𝑦 = 4
 ?

Mais conteúdos dessa disciplina