Logo Passei Direto
Buscar
Material
páginas com resultados encontrados.
páginas com resultados encontrados.

Prévia do material em texto

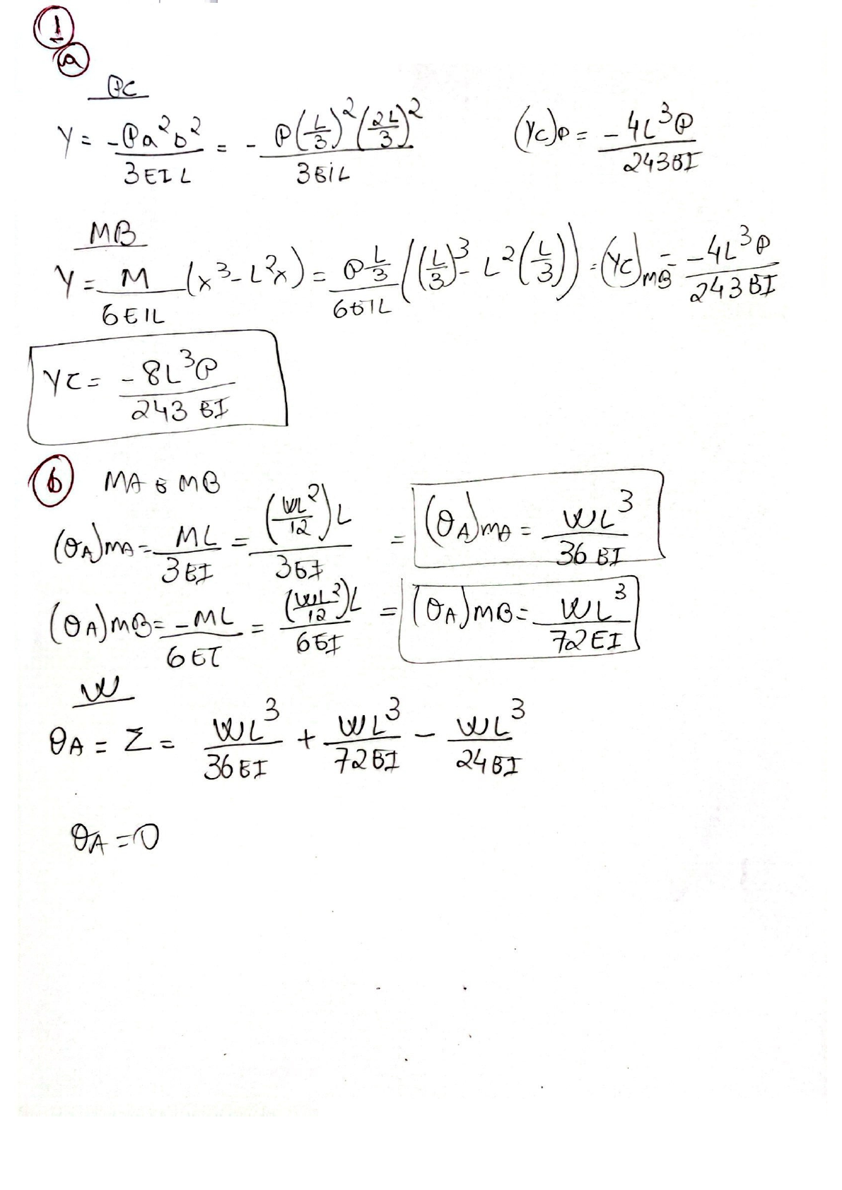
<p>1 PC Y= = - 2438I Y=M MB = 3 MB 243BI 4L30 243 BI ML = = WL3 3EI 357 36 BI = WL3 3 72EI 6ET WL3 + WL3 24BI OA=0</p><p>30 60 A c 3m 3m EI= E= EI= CALCULAR I A 3m II 6m + I =6000mm YE M (x3 y= 60.10 103 = I - -3,79 mm 13 II Eyc= mm CALCULAQ = = 60.10.10.6000 = rad 3.EI 3 = 3.30.6000 = 0,0043 rad 128.EI 0,0077 rad 0,440</p><p>3 E=200.103 MA mn (OA = ML = = 13 = 3,12.10 3EI 2500 mm 5000mm 80.106 4 mm MB = ML = 80.10.5000 = 0,00213 = M - 4mm GEIL P.B = = PL2 = - = 16EI 16.3,12.1013 = - PL3 = - = 11,68 mm 48.3,12.1013 OA= = 0,00427 + - = YB= YB= = mm</p><p>4 2,63 556N 254mm = A I= E= 200 I = 192490 mm CALCULAR y EI= D 10 2 I 2,63 KN/m II 556N + C I 4 = I 8.EI II 8.3,85.1010 yc= - 9,10mm 556.1016 = 3.EI 3.3,85.10" II CALCULAQ O Eye= - 14,14 mm I = 3 I = 6.EI 6.3,85.10" rad. 2 = II rad 2.EI - 0,017 rad 0,017 = - 0,97°</p><p>5 E= I= = 14984331mm 12 EI= 1,756.10 - 1830 mm L= 2440 mm YB= - = - 3EIL 2440 384EI = 384.1756.10" - WL 384EI 384.1,756.10" OA= - YB= - = 5,94mm</p>

Mais conteúdos dessa disciplina