Logo Passei Direto
Buscar
Material
páginas com resultados encontrados.
páginas com resultados encontrados.

Prévia do material em texto

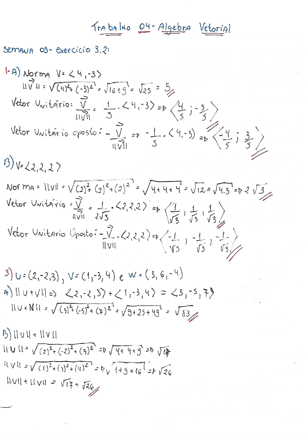
<p>04 - Algebra Vetorial SemANA og- exercicio 3.2: 1-A) V= <4,-3> Vetor = 5 =D Vetor UNitAr io oposto: S B) = Vetor = V = => Vetor UNitArio V3 3) V= (1,-3,4) e A) = 1+9+16 =</p><p>g- encontre U.V; V.V A) = 24 11 euclidiANA A)u= V= V= = g+16+25+9 A = 120° 2 11 115/1=5 2 19 Vetor A) = hvll =</p><p>c) = V 4 23 encontre cosseno do ANgulo Q entre A) U.V = 25+49 = U.V= -11= 13.74 962 V562 = U.V= =D c) U.V= Q</p>

Mais conteúdos dessa disciplina