Logo Passei Direto
Buscar
Material
páginas com resultados encontrados.
páginas com resultados encontrados.
left-side-bubbles-backgroundright-side-bubbles-background

Crie sua conta grátis para liberar esse material. 🤩

Já tem uma conta?

Ao continuar, você aceita os Termos de Uso e Política de Privacidade

left-side-bubbles-backgroundright-side-bubbles-background

Crie sua conta grátis para liberar esse material. 🤩

Já tem uma conta?

Ao continuar, você aceita os Termos de Uso e Política de Privacidade

left-side-bubbles-backgroundright-side-bubbles-background

Crie sua conta grátis para liberar esse material. 🤩

Já tem uma conta?

Ao continuar, você aceita os Termos de Uso e Política de Privacidade

Prévia do material em texto

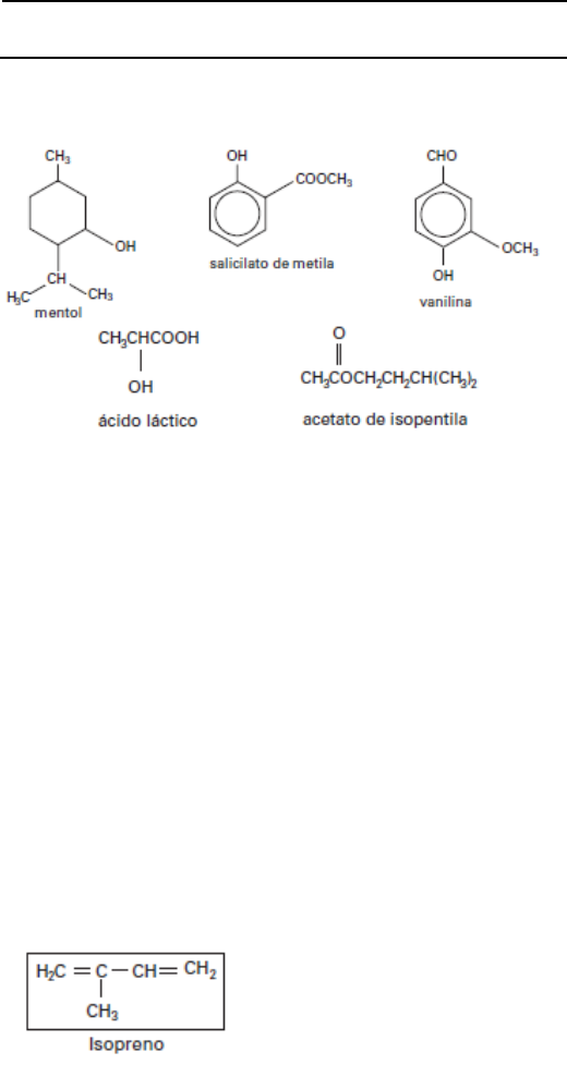
<p>EXERCÍCIOS</p><p>Profa. Bruna Mariáh</p><p>1ª) (UNB-DF) Considerando as estruturas representadas, relativas a compostos de grande utilização em</p><p>indústrias química e farmacêutica, julgue os itens que se seguem como verdadeiros ou falsos.</p><p>( ) Segundo a IUPAC, a nomenclatura oficial do mentol é 3-metil-6-isopropilciclohexanol.</p><p>( ) No salicilato de metila, são encontradas as funções fenol e éster.</p><p>( ) A vanilina é um composto aromático.</p><p>( ) O ácido láctico é isômero de cadeia do ácido 3-hidroxipropanóico.</p><p>( ) No acetato de isopentila, existe apenas um carbono terciário.</p><p>2ª) (UFR-RJ) As substâncias A, B e C têm a mesma fórmula molecular (C3H8O). O componente A tem</p><p>apenas um hidrogênio ligado a um carbono secundário e é isômero de posição de C. Tanto A quanto C são</p><p>isômeros de função de B. As substâncias A, B e C são, respectivamente:</p><p>a) 1-propanol, 2-propanol e metoxietano.</p><p>b) etoxietano, 2-propanol e metoxietano.</p><p>c) isopropanol, 1-propanol e metoxietano.</p><p>d) metoxietano, isopropanol e 1-propanol.</p><p>e) 2-propanol, metoxietano e 1-propanol.</p><p>3ª)( U. F. Pelotas-RS) O odor de muitos vegetais, como o louro, a cânfora, o cedro, a losna, e a cor de</p><p>outros, como a cenoura e o tomate, são devidos à presença de terpenóides (terpenos). Os terpenos são o</p><p>resultado da união de duas ou mais unidades do isopreno, como se pode ver abaixo:</p><p>Em relação ao isopreno, podemos afirmar que:</p><p>a) a nomenclatura do isopreno, segundo a IUPAC, é 2 – metil – 1 – buteno.</p><p>b) o isopreno não apresenta carbonos insaturados.</p><p>c) o isopreno é isômero de cadeia do 4 – metil – 2 – pentino.</p><p>d) segundo a IUPAC (União Internacional de Química Pura e Aplicada), a nomenclatura do isopreno é 2 –</p><p>metil – 1,3 – butadieno.</p><p>e) o isopreno pode apresentar isômeros de cadeia, funcionais e tautômeros.</p><p>4ª) (UFRJ) Isomeria é o fenômeno que se caracteriza pelo fato de uma mesma fórmula molecular</p><p>representar diferentes estruturas. Considerando a isomeria estrutural plana para a fórmula molecular C4H8,</p><p>podemos identificar os isômeros dos seguintes tipos:</p><p>a) cadeia e posição</p><p>b) cadeia e função</p><p>c) função e compensação</p><p>d) posição e compensação</p><p>5ª) (CESGRANRIO - RJ) Duas substâncias de odores bem distintos curiosamente têm fórmula molecular</p><p>idêntica (c6H12O2), o que caracteriza o fenômeno da isomeria. Os odores e as substâncias citadas, são</p><p>responsáveis , respectivamente, pelo mau cheiro exalado pelas cabras (CH3 - CH2 - CH2 - CH2 - CH2 -</p><p>COOH) e pela essência do morango ( CH3 – COO – CH2 – CH2 – CH2 – CH3). O tipo de isomeria que se</p><p>verifica entre as duas substâncias é;</p><p>a) De cadeia</p><p>b) De função</p><p>c) De posição</p><p>d) De compensação</p><p>e) Tautomeria</p><p>6ª) (UCDB-MS) O composto 2 metil pentano é isômero de cadeia do composto:</p><p>a) 2 metil, 3 etil pentano</p><p>b) 3 etil pentano</p><p>c) 2,3 dimetil butano</p><p>d) metil ciclopentano</p><p>e) dimetil propano</p><p>7ª) (UnB-DF) Friedrich August Kekulé (1829-1896) propôs um modelo de estrutura planar e simétrica para</p><p>a molécula do benzeno (C6H6). Considerando o trabalho desse cientista, julgue os itens que se seguem</p><p>como verdadeiros ou falsos.</p><p>( ) O C6H6 é um hidrocarboneto.</p><p>( ) As moléculas do benzeno são aromáticas.</p><p>( ) A substituição de um átomo de hidrogênio por um grupo hidroxila, em cada molécula do benzeno,</p><p>resulta em uma substância denominada fenol.</p><p>( ) De acordo com a estrutura proposta por Kekulé para o benzeno, a molécula de clorobenzeno não</p><p>apresenta isômeros de posição.</p><p>"Comece a ser agora o que você quer ser no</p><p>futuro."</p><p>(São Jerônimo)</p>

Mais conteúdos dessa disciplina