Logo Passei Direto
Buscar
Material
páginas com resultados encontrados.
páginas com resultados encontrados.

Prévia do material em texto

enem2021 
 
/////////////////////////////////////////////////////////////////////////////////////////////////////////////////////////////////////////////////////////////////////////// 
 
/////////////////////////////////////////////////////////////////////////////////////////////////////////////////////////////////////////////////////////////////////////// 
 I8020 – Help Educacional | Caderno de questões – Página 2 
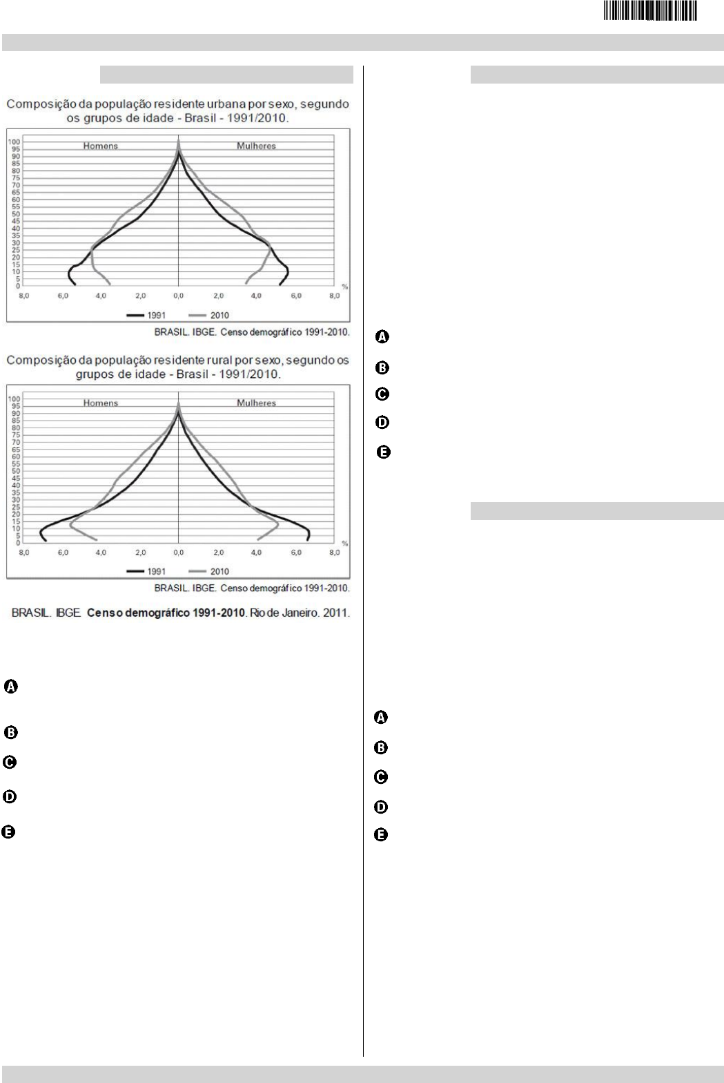
Questão 4 //////////////////////////////////////////////////////////// 
 
 
A interpretação e a correlação das figuras sobre a 
dinâmica demográfica brasileira demonstram um (a): 
Menor proporção de fecundidade na área 
urbana. 
Menor proporção de homens na área rural. 
Aumento da proporção de fecundidade na área 
rural. 
Queda da longevidade na área rural. 
Queda do número de idosos na área urbana. 
 
 
 
 
 
 
 
 
 
 
Questão 5 //////////////////////////////////////////////////////////// 
Uma ação tomada por alguns países que pode funcionar 
é proporcionar bolsas de estudo e empréstimos para 
aqueles que querem estudar em centros universitários 
fora do país, com a contrapartida de que, após a 
conclusão da faculdade, essas pessoas possam pagar ao 
governo voltando e trabalhando no país de origem. 
Desburocratizar o exercício de certas profissões e 
incentivar centros de excelência também pode ajudar. 
MALI, T. Disponível em: www.ufjf.br. Acesso em: 10 out. 2015 
(adaptado). 
As medidas governamentais descritas buscam conter a 
ocorrência do seguinte processo demográfico: 
Transferência de refugiados. 
Deslocamento sazonal. 
Movimento pendular. 
Fuga de cérebros. 
Fluxo de retorno. 
 
Questão 6 //////////////////////////////////////////////////////////// 
A fome não é um problema técnico, pois ela não se deve 
à falta de alimentos, isso porque a fome convive hoje com 
as condições materiais para resolvê-las. 
PORTO-GONÇALVES, C. W. Geografia da riqueza, fome e meio 
ambiente. In: OLIVEIRA, A. U.; MARQUES, M. I. M. (Org.).O campo no 
século XXI: território de vida, de luta e de construção da justiça social. 
São Paulo: Casa Amarela; Paz e Terra, 2004 (adaptado). 
O texto demonstra que o problema alimentar apresentado 
tem uma dimensão política por estar associado ao(à): 
escala de produtividade regional. 
padrão de distribuição de renda. 
dificuldade de armazenamento de grãos. 
crescimento da população mundial. 
custo de escoamento dos produtos.

Mais conteúdos dessa disciplina