Logo Passei Direto
Buscar
Material
páginas com resultados encontrados.
páginas com resultados encontrados.

Prévia do material em texto

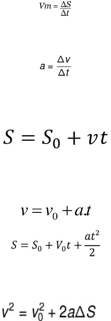
Cinemática 
 
Velocidade Média: Na física, a velocidade é uma 
grandeza que identifica o deslocamento de um corpo 
num determinado tempo. Assim, a velocidade média (Vm) 
mede num intervalo de tempo médio, a rapidez da 
deslocação de um corpo. 
 
A aceleração é um conceito muito importante na 
física, ela é a variação da velocidade de um corpo. 
A Aceleração Escalar Média (am) representa a 
variação da velocidade em determinado intervalo de 
tempo e, consequentemente, da aceleração adquirida . 
 
Movimento Retilíneo Uniforme (MRU): é o 
movimento que ocorre com velocidade constante em 
uma trajetória reta. Desta forma, em intervalos de tempos 
iguais o móvel percorre a mesma distância. 
A função horária da posição é encontrada 
substituindo Δs por s - s0 na equação da velocidade. 
 
Movimento Uniformemente Variado (MUV): é 
aquele em que há variação de velocidade nos mesmos 
intervalos de tempo e com mesma intensidade. É o 
mesmo que dizer que a sua aceleração é constante e 
diferente de zero. 
Assim, a média da aceleração é fundamental 
para que se obtenha o perfil do MUV. 
 
Equação de Torricelli: Essa equação permite 
determinar grandezas como aceleração, velocidades 
final e inicial e, até mesmo, o deslocamento de um corpo 
que se move com aceleração constante quando não se 
conhece o intervalo de tempo no qual o movimento 
ocorreu. 
 
 
 
 
 
 
 
 
 
 
 
 
 
 
Exercícios 
 
1) (FUVEST) Um veículo parte do repouso em 
movimento retilíneo e acelera com aceleração escalar 
constante e igual a 2,0 m/s². Pode-se dizer que sua 
velocidade escalar e a distância percorrida após 3,0 
segundos, valem, respectivamente: 
a) 6,0 m/s e 9,0m; d) 12 m/s e 35m; 
b) 6,0m/s e 18m; e) 2,0 m/s e 12 m. 
c) 3,0 m/s e 12m; 
 
2) (FAMEMA) Uma formiga cortadeira, movendo-
se a 8 cm/s, deixa a entrada do formigueiro em direção a 
uma folha que está 8 m distante do ponto em que se 
encontrava. Para cortar essa folha, a formiga necessita 
de 40 s. Ao retornar à entrada do formigueiro pelo mesmo 
caminho, a formiga desenvolve uma velocidade de 4 
cm/s, por causa do peso da folha e de uma brisa 
constante contra o seu movimento. O tempo total gasto 
pela formiga ao realizar a sequência de ações descritas 
foi 
a) 340 s. c) 260 s. e) 200 s. 
b) 420 s. d) 240 s. 
 
3) (UFTM) Um motorista trafega por uma avenida 
reta e plana a 54 km/h, quando percebe que a luz 
amarela de um semáforo, 108 m à sua frente, acaba de 
acender. Sabendo que ela ficará acesa por 6 segundos, 
e como não há ninguém à sua frente, ele decide acelerar 
o veículo para passar pelo cruzamento antes de o 
semáforo ficar vermelho. Considerando constante a 
aceleração do veículo e que o motorista consiga passar 
pelo semáforo no exato instante em que a luz vermelha 
se acende, sua velocidade, em km/h, no instante em que 
passa pelo semáforo é igual a 
a) 64,8. d) 97,2. 
b) 75,6. e) 108,0 
c) 90,0. 
 
4) Uma das etapas mais difíceis de um voo 
espacial tripulado é a reentrada na atmosfera terrestre. 
Ao reencontrar as camadas mais altas da atmosfera, a 
nave sofre forte desaceleração e sua temperatura 
externa atinge milhares de graus Celsius. Caso a 
reentrada não ocorra dentro das condições apropriadas, 
há risco de graves danos à nave, inclusive de explosão, 
e até mesmo risco de ela ser lançada de volta ao espaço. 
Logo ao reentrar na atmosfera terrestre, uma 
cápsula espacial passa a descrever, durante certo tempo, 
um movimento retilíneo uniformemente variado em que 
ela é freada com aceleração a = - 5,0 m/s2. Se no início 
dessa etapa (t = 0) do movimento a velocidade da 
cápsula é v0 = 7000 m/s, qual é a distância percorrida até 
o tempo t = 200 s? 
a) 1300 km. c) 1500 km. 
b) 1400 km. d) 4900 km. 
 
5) O trem bala Maglev opera entre Tóquio e 
Osaka, podendo atingir a notável marca de 500 km/h. 
Considerando a situação em que ele parte do repouso de 
uma estação A para uma estação B, numa trajetória 
retilínea, com aceleração escalar constante de 10 m/s², 
fazendo o referido percurso com uma velocidade média 
de 216 km/h, é correto dizer que a distância, em metros, 
entre as estações é igual a 
a) 1080. c) 1440. 
b) 360. d) 720.

Mais conteúdos dessa disciplina