Logo Passei Direto
Buscar
Material
páginas com resultados encontrados.
páginas com resultados encontrados.

Prévia do material em texto

Saúde da Mulher
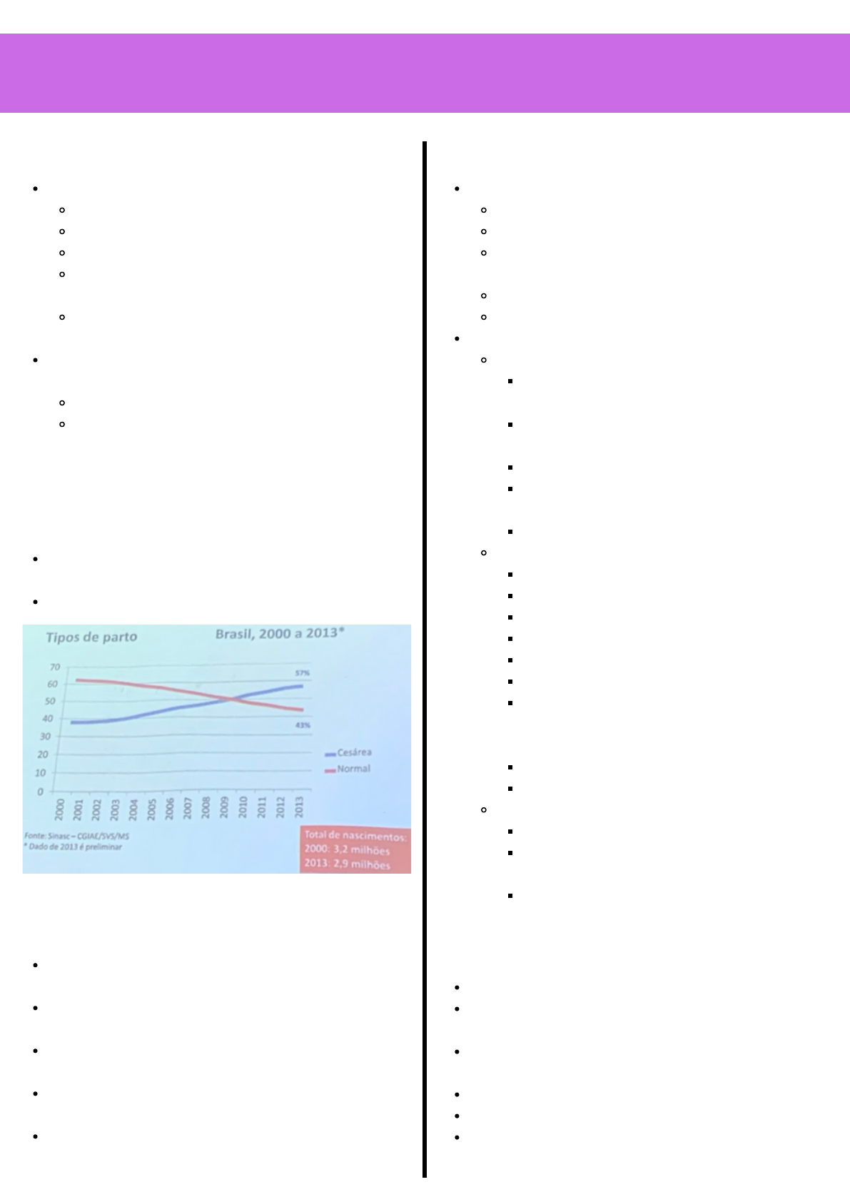
PARTO E NASCIMENTO NO BRASIL
Intensa medicalização do nascimento.
98% dos partos hospitalares;
88% por médicos;
Altas taxas de intervenção;
88% de cesárias no setor privado, 46% de cesárias no
setor público (OMS recomenda até 15%).
Asfixia intraparto: grande parte dos óbitos infantis
ocorrem no primeiro dia de vida.
Avanço tecnológico, porém práticas sem respaldo
científico.
Banalização da cesariana;
Parto com intervenções desnecessárias que
comprometem sua fisiologia, desrespeitando as
evidências científicas, os direitos das mulheres e das
crianças.
PRINCIPAIS INDICAÇÕES DE CESÁRIAS
O MODELO TECNOCRÁTICO DO PARTO
No SUS (2/3) dos partos, o percentual de cesárias é de
40%.
No setor privado, este número chega a 84%
AS INTERVENÇÕES DESNECESSÁRIAS - PESQUISA:
COMO NASCEM OS BEBÊS NO BRASIL
91,7% Deram à luz deitadas de costas, o que torna a
expulsão ainda mais difícil.
74,8% Não puderam se alimentar durante o trabalho de
parto.
53,55% Sofreram episiotomia, um corte na região do
períneo para facilitar a saída do bebê.
36,4% Receberam ocitocina, um hormônio que aumenta
as contrações uterinas e torna o parto mais doloroso.
36,1% Sofreram empurrões na barriga para forçar a
saída do bebê.
Absolutas:
Placenta Pŕevia.
Placenta Acreta.
Malformações genitais (septos vaginais, por
exemplo).
Tumorações prévias (miomas prévios, por exemplo).
Desproporção cefalopélvica com feto alvo.
Relativas:
Maternas
Cardiopatias específicas (síndrome de marfas
com dilatação da aórtica, por exemplo).
Presumopatias específicas (hipertensão
pulmonar grave, por exemplo).
Dissecção aórtica.
Condições associadas à elevação da pressão
intracraniana.
História de fístula retrovaginal.
Fetais
Sofrimento fetal,
Prolapso de cordão,
Apresentação pélvica ou córmica.
Gemelidade com 1 feto não cefálico.
Gemelidade monoaminiótica.
Macrossomia.
Malformações fetais específicas
(mielomeningocele, hidrocefalia com
macrocrania, etc.),
Herpes genital ativa.
HIV com carga viral > 1.00 cópias.
Maternofetais
Cesária prévia.
Descolamento prematuro da placenta com o feto
vivo.
Placenta baixa distando > 2 cm do orifício
interno do colo.
CESARIANA
Problema de saúde pública;
Curto prazo associado ao aumento da morbimortalidade
materna e neonatal;
Majoração dos riscos imposto a mãe e ao recém nato e
seus prejuízos econômicos;
Prematuridade;
Aumento do custo nos serviços de saúde neonatais;
Maior risco materno: hemorragias, tromboses, infecção,
lacerações, acidentes anestésicos e óbito materno.
Saúde da Mulher
O MODELO TECNOCRÁTICO DO PARTO
Separação corpo e mente;
O corpo feminino como máquina defeituosa;
O hospital como fábrica; 
O bebê como produto;
A tecnologia como superior sobre os processos normais.
Modelo de atenção ao parto predominante no Brasil:
parto traumático ou cesariana.
Parto traumático com intervenções desnecessárias e
iatrogênicas:
Ocitocina, jejum. venóclise;
Confinamento no leito, Litotomia;
Restrição da dieta;
Restrição de acompanhante;
Não oferta de métodos de alívio da dor;
Epsiotomia, Amniotomia;
Desconsideração do período sensível.
Banalização da cesárea
Pulverização dos significados do parto e
nascimento;
Desconsideração da fisiologia da mulher-
cesárea agendada;
Maior risco de internação do RN em UTI -
desconforto respiratório;
Prematuridade iatrogênica.
PARTO VAGINAL PÓS CESÁRIA (PVAC)
PVAC planejado é apropriado e pode ser oferecido à
maioria das mulheres com gravidez única, com
apresentação cefálica, com 37 semanas ou mais,
submetidas a uma cesária segmentária prévia
(transversal);
O PVAC planejado está contraindicado em mulheres com
história de ruptura uterina ou cesária clássica (vertical);
A proposta a ser tomada em mulheres que tiveram
cicatriz de cesárea complicada deve ser avaliada
criteriosamente;
Mulheres que tiveram duas ou mais cesáreas prévias
segmentárias podem ser submetidas ao PVAC em centros
apropriados e com recurso para o parto operatório
imediato;
As mulheres devem ser informadas que o maior risco do
PVAC é a cesárea de emergência.
As mulheres devem ser informadas que o PVAC carreia
risco aproximado de 1:200 (0,5%) de ruptura uterina.
As mulheres devem ser informadas que o risco de morte
perinatal com a PVAC é extremamente baixo (4:10.000 ou
0,04%) e semelhante ao de nulíparas em trabalho de
parto;
O risco de morte materna com PVAC é igualmente muito
baixo (4:1.000.000);
As mulheres devem ser informadas de que a repetição de
cesárea eletiva (RCE) está associada a risco aumentado
da placenta prévia/acreta em gestações futuras e de
aderência pélvica que podem complicar possíveis
cirurgias abdominopélvicas;
O risco de morte perinatal com a RCE é extremamente
baixo, mas pode haver pequeno aumento de morbidade
respiratória neonatal se a cesárea for executada antes de
39+0 semanas, devido a cálculo gestacional icorreto. Esse
risco pode ser reduzido pela administração de um curso
pré-operatório de corticóide;
As mulheres devem ser informadas que o PVAC
planejado deve ocorrer em centros apropriados, com
possibilidade de monitoramento intraparto e imediata
realização de cesárea e reanimação neonatal;
A anestesia de condução não está contraindicada,
embora se saiba que possa dificultar o diagnóstico da
ruptura uterina;
As mulheres devem ser informadas que serão
submetidas ao monitoramento fetal eletrônico contínuo
desde o início do PVAC.
As mulheres devem ser informadas que com a indução
do parto e/ou o uso de ocitócitos, o risco de ruptura
uterina está aumentado de 2 a 3 vezes e o de parto
cesáreo de 1,5 vez, em relação ao PVAC espontâneo.
Os médicos devem saber que os procedimentos
mecânicos de indução de parto (cateter de Foley) estão
associados a risco menor de ruptura uterina, quando
comparados à indução com prostaglandínicos
(recomendação também da SOGC que, inclusive nesse
cenário, os contraindica formalmente).
OS 10 PASSOS PARA A HUMANIZAÇÃO DO PARTO E
NASCIMENTO
1 - Permitir a presença do acompanhante de escolha da
mulher;
2 - Monitorar o bem-estar físico e emocional da mulher
durante o trabalho de parto, até a alta hospitalar.
Saúde da Mulher
Categoria D - Práticas frequentemente realizadas de
modo inadequado;
CATEGORIA A
3 - Oferecer informações conforme a demanda da
mulher;
4 - Respeitar o direito de privacidade da mulher;
5 - Respeitar o posicionamento de escolha da mulher,
estimular posições verticalizadas, evitar posição de
litotomica;
6 - Orientar e oferecer técnicas não farmacológicas de
alívio da dor durante o TP e parto;
7 - Oferecer fluidos durante o TP e parto;
8 - Permitir e estimular contato precoce entre mãe e bebê
e aleitamento materno na primeira hora pós parto;
9 - Possuir normas e procedimentos claramente
definidos e realizar monitoramento cuidadoso da
evolução do parto através do uso do partograma.
10 - Ofertar alojamento conjunto, favorecer o
aleitamento materno e esforço para torna-se hospital
amigo da criança (IHAC).
Foca no trabalho colaborativo e interdisciplinar;
Olhar na mulher;
Baseado nas evidências científicas;
Categorias:
Categoria A - Práticas demonstradamente úteis e
que devem ser estimuladas;
Categoria B - Práticas claramente prejudiciais ou
ineficazes e que devem ser eliminadas;
Categoria C - Práticas sem evidências suficientes
para apoiar uma recomendação clara e que devem
ser utilizadas com cautela até que mais pesquisas
esclareçam a questão; 
Plano de parto;
Respeito à escolha da mãe sobre o local do parto;
Respeito ao direito da mulher à privacidade no local de
parto;
Respeito à escolha da mulher sobre seus acompanhantes
durante o trabalho de parto e parto;
Oferta de líquidos por via oral durante o TP e parto;
Monitoramento fetal por meio da ausculta intermitente;
Monitoramento cuidadoso do progresso do parto;
Métodos não invasivos e não farmacológicos de alívio da
dor;
Liberdade de posição e movimento durante trabalho de
parto;
Estímulo a posições não supinas durante o trabalho de
parto;
CATEGORIA B
Uso rotineiro de enema;
Uso rotineiro de tricotomia;
Infusão intravenosa de rotina no trabalho de parto;
Cateterizaçãovenosa profilática de rotina;
Uso rotineiro de posição supina durante trabalho de
parto;
Exame retal;
Administração de ocitócitos em qualquer momento;
Uso de rotina da posição de litotomia;
Esforço de puxo prolongado e dirigido;
Massagem e distensão do períneo durante o segundo
estágio do trabalho de parto;
Lavagem uterina rotineira após o parto;
Revisão uterina (exploração manual) rotineira após o
parto.
Melhoram os indicadores;
Diminui taxas de mortalidade materna em 2 a 5% ao ano;
Melhor custo-efetividade;
Assistência segura, de qualidade;
Melhor utilização de recursos;
Possibilita melhor experiência do parto e nascimento;
Reduz intervenções sem aumento de eventos adversos;
83% de todas as mortes maternas, óbitos fetais e
neonatais podem ser evitados com assistência integral de
EO e obstetriz em obstetrícia;
Aumento do espaçamento entre nascimento e uso de
anticoncepcionais;
Potencial para melhorar a assistência obstétrica.
ENFERMAGEM OBSTÉTRICA
BOAS PRÁTICAS OMS - MATERNIDADE SEGURA
CATEGORIA C
Métodos não farmacológicos de alívio de dor durante TP,
como ervas, imersão em águas e estimulação dos nervos;
Amniotomia precoce de rotina no primeiro estágio do
trabalho de parto; Pressão do fundo durante o trabalho
de parto;
Manobras relacionadas a proteção do períneo e ao
manejo do pólo cefálico no momento do parto;
Manipulação ativa do feto no momento do parto;
Saúde da Mulher
PERGUNTAS QUE A FUTURA MAMÃE DEVE FAZER A
EQUIPE MÉDICA
Uso rotineiro de ocitocina, tração controlada do cordão,
ou na sua combinação durante o terceiro estágio do
trabalho de parto;
Clampeamento do cordão umbilical;
Estimulação do mamilo para estimular a contratilidade
uterina durante o terceiro estágio do trabalho de parto.
Programa de Humanização do Parto e do Nascimento
(2000);
Instituí parâmetro - taxa de cesariana (2002);
Política Nacional de Atenção Obstétrica e Neonatal
(2005);
Plano de Qualificação das Maternidades AL e NE;
Rede Cegonha (2011).
1 - Qual o benefício de um parto vaginal para mim e
para o meu bebê. E de uma cesariana.
2 - Que problemas podem acontecer se eu continuar
com o meu plano para um parto vaginal. E se eu
optar por uma cesariana.
3 - Quais são os possíveis danos de uma cesariana e
de um parto vaginal.
4 - Qual é a probabilidade desses possíveis danos.
5 - Que materiais técnicos eu posso ler para entender
melhor as indicações, vantagens e desvantagens de
cada tipo de parto.
ESTRATÉGIAS DO MS PARA A QUALIFICAÇÃO DA
ATENÇÃO AO PARTO E NASCIMENTO - REDE
CEGONHA
Mudança nas estruturas\ambientes que atendem parto -
RDC 36 de 2008;
Centros de Parto Normal;
Mudanças nas práticas de atenção e gestão dos serviços;
Formação de enfermeiros obstetras e obstetrizes;
Contratualização com as maternidades, monitoramento
e avaliação SISPARTO;
Constituição de Fóruns Perinatais Rede Cegonha;
Construção de Procedimentos Clínicos e Diretrizes
Terapêuticas do Parto Normal e Cesariana;
Mudança da formação em obstetrícia - MEC - Hospitais
de Ensino;
Estratégias de comunicação - mudança de cultura;
Principal problema da segurança: Morte Materna
(evento sentinela) - falha no cuidado prestado.
Restrição hídrica e alimentar durante o trabalho de
parto;
Controle da dor por agentes sistêmicos;
Controle da dor por analgesia peridural;
Monitoramento eletrônico fetal;
Uso de máscaras e aventais estéreis durante a assistência
ao trabalho de parto.
Exames vaginais repetidos ou frequentes, especialmente
por mais de um prestador de serviço;
Transferência rotineira da parturiente para outra sala no
início do segundo estágio do trabalho de parto.
Cateterização da bexiga;
Estímulo para o puxo quando se diagnostica dilatação
cervical completa ou quase completa;
Parto operatório;
Uso liberal e rotineiro de episotomia;
Exploração manual do útero após o parto.
CATEGORIA D
AMPLIAÇÃO DE ACESSO E MELHORIA DA
QUALIDADE DO PRÉ-NATAL, ASSISTÊNCIA AO PARTO
E PUERPÉRIO
SEGURANÇA DA PACIENTE EM SERVIÇOS
OBSTÉTRICOS
O que é segurança do paciente = reduzir a um mínimo
aceitável, o risco do dado desnecessário associado ao
cuidado de saúde (Portaria n 529\2013).
É a evitabilidade, prevenção e melhoria de resultados
adversos ou lesões provenientes do processo assistencial.
Segurança não deve se limitar apenas à tentativa de
evitar lesões.
PARTO ADEQUADO (ANS)
Projeto desenvolvido pela Agência Nacional de Saúde
Suplementar (ANS), em parceria com hospitais privados,
com o Institute for Healthcare Improvement (IHI);
Busca identificar modelos inovadores e viáveis de
atenção ao parto e nascimento que valorizem o parto
normal e reduzam o percentual de cesarianas sem
indicação clínica na saúde suplementar.
Portaria n 529 de 01 de abril de 2013
Institui o Programa Nacional de Segurança do
Paciente;
Determina a criação do comitê de Implementação
Nacional de Segurança do Paciente.
RDC 36 de 25 de julho de 2013
Institui ações para a segurança do paciente em
serviços de saúde;
Prevê a criação de Núcleos de Segurança do Paciente
nos serviços de saúde com o intuito de promover e
apoiar a implementação de ações voltadas à
segurança do paciente.
Estatística Global de Segurança
1 em cada 10 pacientes no mundo é vitima de erros e
eventos adversos evitáveis durante a prestação de
assistência à saúde.
A assistência no parto mal conduzida contribui para
a morte de cerca de 287 mil mulheres ao ano no
mundo.
Nos EUA cerca de 80 mil eventos obstétricos
adversos ao ano.
Aproximadamente 44 mil a 98 mil americanos
morrem de erros de assistenciais preveníveis.
Falha de comunicação e responsável por 72% dos
eventos sentinelas perinatais nos EUA.
Brasil
3 milhões de nascimento ao ano;
6 milhões de pacientes (mulheres e bebê);
No Brasi, 60 mil eventos obstétricos adversos ao ano;
Assistência obstétrica com a terceira causa de
internação hospitalar no SUS com 218.418
internações por afecções originárias no período
perinatal.
Aliança mundial para segurança do paciente.
Erro humano: uso, não intencional, de um plano
incorreto para alcançar um objetivo (erro de
planejamento) ou a não execução a conteto de uma ação
planejada (erro de execução).
Cultura de segurança do paciente - como implementar?
Transformar o ambiente de atendimento, e,
consequentemente, a prática de enfermagem.
Código de ética: Art. 10 - Recusar-se a executar atividades
que não sejam de sua competência técnica, ética e legal
ou que não ofereçam segurança ao profissional, à pessoa,
família e coletividade.
CULTURA DE SEGURANÇA
Começe do princípio
Faça as pessoas acreditarem.
Segurança é prioridade de todos.
Segurança é possível
Demonstre que segurança existe.
Comunique com clareza esse pressuposto.
Crie um ambiente de aprendizado
Documente erros.
Encoraje discussão.
Procure soluções
Examine todas as possibilidades.
Faça esse exame em equipe e horizontalmente.
PRÁTICAS SEGURAS PARA PREVENÇÃO DE RRO DE
ADMINISTRAÇÃO DE MEDICAMENTOS
1 - Paciente certo;
2 - Medicamento certo;
3 - Via certa;
4 - Hora certa;
5 - Dose certa;
6 - Documentação certa (registro certo);
7 - Razão\orientação correta;
8 - Forma certa;
9 - Resposta certa;
10 -
11 -
12 -
13 -
--> Segundo a RDC n 36\2013 da Anvisa, todos os eventos
adversos, incluindo os erros de medicação ocorridos nos
serviços de saúde do país devem ser notificados pelo
Núcleo de Segurança do Paciente, ao Sistema Nacional
de Vigilância Sanitária (SNVS), por meio do sistema
Notivisa.
Saúde da Mulher
Saúde da Mulher
Identificar corretamente o paciente;
Melhorar a comunicação entre profissionais de saúde;
Melhorar a segurança na prescrição, no uso e na
administração de medicamentos;
Assegurar cirurgia em local de intervenção,
procedimento e paciente corretos;
Higienizar as mãos para evitar infecções;
Reduzir o risco de quedas e úlceras por pressão.
OBSTETRÍCIA E SEGURANÇA DO PACIENTE
Gravidez e parto, em sua maioria ocorre sem
intercorrências --> FALSA SEGURANÇA
Erros cometidos no processo não aparecem
rotineiramente
Complicações relacionadas ao processo reprodutivo;
Complicações relacionadas à assistência
Modelo assistencial altamenteintervencionista.
Iatrogenias.
Grande potencial de dano.
Ex.: episiotomoa, uso rotineiro de ocitocina,
cesariana desnecessária.
FATORES HUMANOS E SEGURANÇA
Contribui para danos:
Sobrecarga de trabalhos;
Alta variabilidade da equipe de saúde;
Risco de danos aos pacientes;
Redução de danos:
Treinamento da equipe;
Simulação do trabalho em equipe;
Desenvolvimento de protocolos assistenciais com
base nas evidências cientificas;
Diretrizes e listas de checagem;
Tecnologia da informação;
Educação e rotina de segurança.
SEGURANÇA DO PACIENTE
ASPECTOS LEGAIS
Negligência - é o erro cometido com consciência de como
deve ser feito o tratamento, porém, por mero desleixo,
menosprezo ou indolência, não é realizado
adequadamente.
Imprudência - é o erro cometido com conhecimento das
regras, porém, não executado com cautelas exigidas no
tratamento.
Imperícia - é a execução de uma função sem plena
capacidade para tal.
OCORRÊNCIA DOS EVENTOS ADVERSOS
Evento adverso: dano causado por cuidado à saúde e não
pela doença de base, que prolongou o tempo de
permanência do paciente ou resultou em uma
incapacidade presente no momento da alta;
Está relacionada a assistência - ação ou omissão
Sistemas complexos falham devido à combinação de
múltiplos fatores pequenos, cada um individualmente é
insuficiente para causar um acidente. Essas falhas são
latentes no sistema e seus padrões se modificam por
meio do tempo.
SEGURANÇA DO NASCIMENTO
Near miss materno: diz respeito às situações em que as
mulheres apresentam complicações potencialmente
letais durante a gravidez, parto ou puerpério, e só 
sobrevivem em razão do acaso ou do cuidado de saúde
prestado;
Síndromes hipertensivas;
Infecções;
Outras;
OMS - propôs um conjunto de critérios de identificação
dos casos de Near miss materno para facilitar as revisões
e monitoramento.
SEGUROS PARA TRABALHAR
Os trabalhadores estão aptos para trabalhar (;;)
Doença;
Medicação;
Estresse;
Fadiga;
Álcool e drogas;
Alimentação e eliminação.
QUALIDADE DA ATENÇÃO EM SERVIÇOS
OBSTÉTRICOS
Dimensão - operacionalização
Segurança - minimização do risco de erro ou dano.
Cuidado pautado na fisiologia do parto, minimiza o uso
de intervenções e opta por aquelas com risco
estabelecido por critérios científicos, o que torna o
cuidado mais seguro.
Efetividade - cuidado prestado de acordo com as
indicações de uso e os padrões estabelecidos e alcança os
benefícios esperados.
Saúde da Mulher
Centralidade na mulher no bebê - cuidado tem por base
as necessidades, os valores, a cultura e as preferências da
mulher e sua família, promovendo resultados de saúde
ideais. As decisões são tomadas para otimizar a saúde
materna e neonatal e não por conveniência da equipe ou
da organização de saúde.
Oportunidade - cuidado prestado quando necessário,
pois a espera pode comprometer a segurança. Isso inclui
fornecer informações clara em tempo hábil para apoiar a
tomada de decisão da mulher e sua família.
Eficiência - cuidado prestado de modo a produzir os
maiores benefícios possíveis como o uso mais adequado
dos recursos e da tecnologia. Maternidade eficiente evita
o desperdício com o uso excessivo, inadequado e com os
erros.
Equidade - as mulheres e as famílias de todos os grupos
raciais, étnicos e socioeconômicos têm acesso aos
mesmos cuidados de alta qualidade. Qualquer variação
nos cuidados está pautada apenas nas necessidades e
valores da mulher e na sua saúde e de seu bebê. Também
significa que os cuidados obstétricos consideram...
PARTO SEGURO
Promover a melhoria da qualidade do cuidado ao parto
tem sido identificada como a estratégia de maior
impacto para:
Reduzir a morbidade e mortalidade materna e
neonatal.
Melhorar a experiência da mãe da família.
Desafios:
Compreender como os fatores assistenciais afetam
os resultados dos serviços obstétricos.
Identificar as intervenções efetivas para promover a
melhoria do cuidado.
Trabalhar a cultura das organizações.
Definir rotinas mais efetivas, adequadas, flexíveis e
seguras.
INICITATIVAS PARA PROMOÇÃO DA SEGURANÇA
Cartão da gestante;
Plano de parto;
Partograma;
Utilização das boas práticas;
Checklist de cirurgia segura;
Checklist do programa de qualidade da OMS;
Adequação das maternidades (espaço físico);
Criação de protocolos, com base nas evidências
científicas;
Avaliação a viabilidade fetal;
Seguir os parâmetros internacionais de monitoramento;
Padronização para utilização da ocitocina e tratamento
de hemorragias pós-parto;
Indicação correta da cesariana;
Comunicação qualificada.
MELHORAR A SAÚDE DAS GESTANTES
Pacto Nacional pela Redução das Taxas de Cesárias;
Programa de Humanização no Parto e Nascimento;
Nascer no Brasil;
Pacto Nacional pela Redução da Mortalidade Materna e
Neonatal;
Rede Cegonha;
Diretrizes Nacionais de Assistência ao Parto Normal;
Parto Adequado;
Zero Morte Materna por Hemorragia.
Foto sobre fluxograma de incidente
ZERO MORTE MATERNA POR HEMORRAGIA
O projeto é uma iniciativa da Organização Pan-
Americana de Saúde\Organização Mundial da Saúde
(OPAS\OMS) e o Centro Latino\Americano para
Perinatologia (CLAP).
Prevenção da morte materna por hemorragia pós-parto.
Treinamento de habilidades e simulações práticas.
Traje antichoque não pneumático (TAN) nas rotinas dos
serviços de saúde.
APOIO CONTÍNUO DURANTE O TRABALHO DE PARTO
O apoio contínuo durante o TP pode melhorar os
resultados para mulheres e bebês, incluindo aumento do
parto vaginal espontâneo, menor duração do trabalho de
parto, diminuição do parto cesáreo, parto vaginal
instrumental, uso de qualquer analgesia, uso de
analgesia regional, Apgar de cinco minuto e sentimentos
negativos sobre a experiência de parto.
Não foram encontradas evidências de danos do apoio
contínuo ao trabalho de parto.
Saúde da Mulher
RECOMENDAÇÕES DA OMS
Cuidado durante o trabalho de parto;
Primeiro estágio do trabalho de parto;
Segundo estágio do trabalho de parto;
Terceiro estagio do trabalho de parto; 
Cuidado com a mulher e o recém nascido após o parto.
REPRESENTAÇÃO DO MODELO DA ASSISTÊNCIA
INTRAPARTO
Cuidado respeitoso e digno;
Suporte emocional permanente de acordo com a escolha
da paciente;
Comunicação efetiva entre equipe e paciente;
Estratégias de alívio a dor;
Monitoramento do trabalho de parto;
Registro e documentação de eventos;
Livre ingesta de líquidos;
Mobilidade durante o trabalho de parto;
Escolha da melhor posição para o parto;
Referência estabelecida;
Continuidade do cuidado.
TERMÔMETRO DE SEGURANÇA MATERNA
O NHS Maternity Safety Thermometer permite às
equipes das maternidades chegarem a temperatura dos
danos e registrar a proporção de mães que receberam
“cuidados livre de dano”. Também registra o número de
danos associados aos cuidados na assistência obstétrica.
Mede:
Dano perineal e\ou trauma abdominal;
Hemorragia pós-parto;
Infecção;
Serapação mãe-bebê;
Segurança emocional.

Mais conteúdos dessa disciplina