Logo Passei Direto
Buscar
Material
páginas com resultados encontrados.
páginas com resultados encontrados.

Prévia do material em texto

Radiação
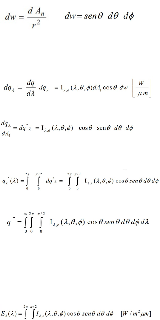
Ângulo Sólido:
Energia radiante:
Taxa de energia radiante espectral:
Fluxo de energia radiante:
(Dividiu a taxa pela área e substitui o ângulo sólido)
Se hemisférico:
Fluxo total de energia radiante (integrado no espectro)
Poder emissivo 
Poder emissivo hemisférico espectral: 
Taxa na qual a radiação de comprimento de onda λ é emitida em todas as direções por unidade de comprimento de onda dλ em torno de λ e por unidade de área superficial (E )
Poder emissivo (ou emitância total hemisférica):
Quantifica a quantidade de radiação emitida por unidade de área da superfície. (E)
 
· Eλ é baseado na área superficial real
· Iλ,e é baseado na área projetada
Se emissor difuso:
Intensidade da radiação emitida é independente da direção
Espectral e total respectivamente
Irradiação
Espectral:
Total:
Se difusa:
Radiosidade
Considera toda a energia radiante que deixa uma superfície.
Espectral:
Total:
Distribuição de Plank
A distribuição espectral da emissão de um corpo negro é bem conhecida, tendo sido determinada primeiramente por Planck:
1. A radiação emitida varia continuamente com o comprimento de onda 
2. Em qualquer comprimento de onda a intensidade da radiação emitida aumenta com a elevação da temperatura. 
3. A região espectral na qual a radiação é concentrada depende da temperatura, com mais radiação aparecendo comparativamente em menores comprimentos de onda conforme a temperatura aumenta. 
4. Uma fração significativa da radiação emitida pelo sol, que pode ser aproximada como um corpo negro a 5800K, encontra-se na região visível do espectro. Ao contrário, para T

Mais conteúdos dessa disciplina