Logo Passei Direto
Buscar

Chegg Solutions for Microelectronic Circuits (Adel S Sedra, Kenneth C Smith) (Z-Library)_parte_626

Material
páginas com resultados encontrados.
páginas com resultados encontrados.

Prévia do material em texto

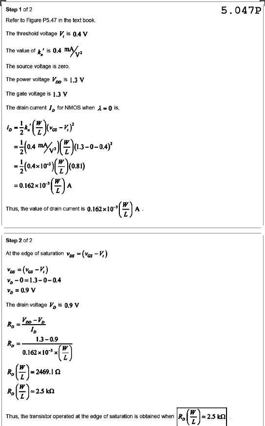
Step 1 of 2 5.047P Refer to Figure P5.47 in the text book. The threshold voltage is 0.4 V The value of is 0.4 The source voltage is zero. The power voltage is 1.3 V The gate voltage is 1.3 V The drain current for NMOS when is, Thus, the value of drain current is Step 2 of 2 At the edge of saturation The drain voltage is 0.9 V 1.3-0.9 Thus, the transistor operated at the edge of saturation is obtained when 2.5

Mais conteúdos dessa disciplina