Logo Passei Direto
Buscar

Chegg Solutions for Microelectronic Circuits (Adel S Sedra, Kenneth C Smith) (Z-Library)_parte_624

Material
páginas com resultados encontrados.
páginas com resultados encontrados.

Prévia do material em texto

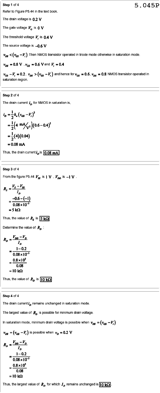
Step 1 of 4 5.045P Refer to Figure P5.44 in the text book. The drain voltage is 0.2 V The gate voltage The threshold voltage is 0.4 V The source voltage is -0.6 V Then NMOS transistor operated in triode mode otherwise in saturation mode. = 0.2. > and hence for = = 0.8 NMOS transistor operated in saturation region. Step 2 of 4 The drain current for NMOS in saturation is, = = 0.08 mA Thus, the drain current is Step 3 of 4 From the figure P5.44 is V is -0.6-(-1) = 0.08x10⁻³ Thus, the value of is Determine the value of II 1-0.2 = = 0.08 = 10 kΩ Thus, the value of RD is Step 4 of 4 The drain current remains unchanged in saturation mode. The largest value of RD is possible for minimum drain voltage. In saturation mode, minimum drain voltage is possible when = is possible when = 0.2 V 1-0.2 = = 0.08 = 10 kΩ Thus, the largest value of RD for which remains unchanged is

Mais conteúdos dessa disciplina