Logo Passei Direto
Buscar

Chegg Solutions for Microelectronic Circuits (Adel S Sedra, Kenneth C Smith) (Z-Library)_parte_481

Material
páginas com resultados encontrados.
páginas com resultados encontrados.
left-side-bubbles-backgroundright-side-bubbles-background

Crie sua conta grátis para liberar esse material. 🤩

Já tem uma conta?

Ao continuar, você aceita os Termos de Uso e Política de Privacidade

Prévia do material em texto

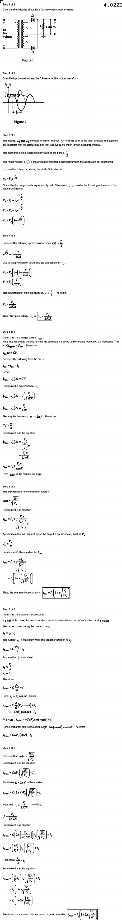
Step 1 of 8 4.022E + 9+ ac line voltage *** : Step 2 of 8 Draw waveform output waveform Figure 2 Step 3 of 8 D, and D, a brief interval near the peak inpu and the capacitor with charge equal that lost during the much longer interval The discharge approximately equal the period amount discharge the when the are Express during the OFF interval equal only half period T consider the following Step 4 of 8 Consider the following approximation since 2 2CR Use simplify the expression for 2CR The Therefore Thus, ripple Step 5 of 8 Determine average current Note charge supplied during the c conduction charge lost during That Therefore Conside following Substitute V, The Therefore conduction angle Step 6 of 8 The pression equation Approximate current since the output approximately modify equation for Thus average diode current is Step 7 of 8 Determine maximum current the maximum diode current occurs conduction current during maximum when the capacitor charges Assume is constant V. Therefore Consider Step 8 of 8 Consider that Substitute Substitute equation Therefore 2V,CR equation V.R equation

Mais conteúdos dessa disciplina