Logo Passei Direto
Buscar

Chegg Solutions for Microelectronic Circuits (Adel S Sedra, Kenneth C Smith) (Z-Library)_parte_614

Material
páginas com resultados encontrados.
páginas com resultados encontrados.
left-side-bubbles-backgroundright-side-bubbles-background

Crie sua conta grátis para liberar esse material. 🤩

Já tem uma conta?

Ao continuar, você aceita os Termos de Uso e Política de Privacidade

Prévia do material em texto

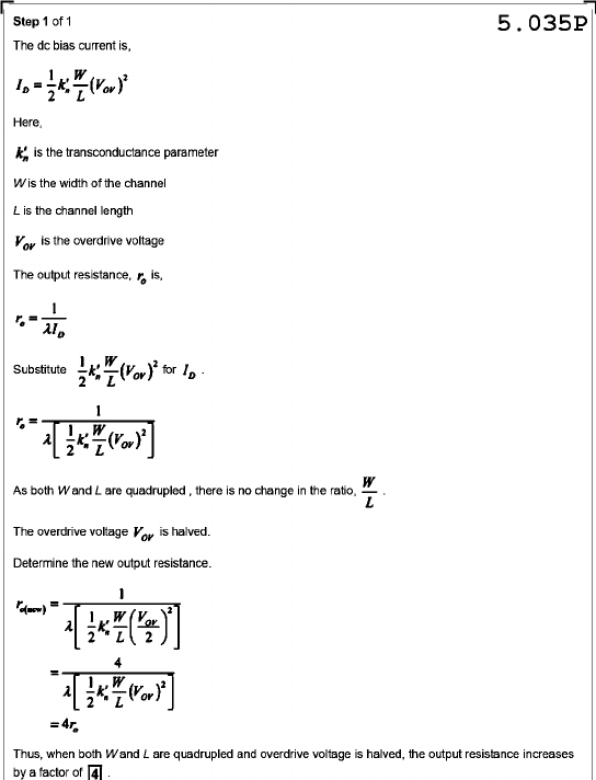
Step 1 of 1 5.035P The dc bias current is, Here, kn is the transconductance parameter Wis the width of the channel L is the channel length is the overdrive voltage The output resistance, is, Substitute W As both W and L are , there is no change in the ratio, The overdrive voltage is halved. Determine the new output resistance. Thus, when both Wand L are quadrupled and overdrive voltage is halved, the output resistance increases by a factor of 4

Mais conteúdos dessa disciplina