Logo Passei Direto
Buscar

Ferramentas de estudo

Material
páginas com resultados encontrados.
páginas com resultados encontrados.
left-side-bubbles-backgroundright-side-bubbles-background

Crie sua conta grátis para liberar esse material. 🤩

Já tem uma conta?

Ao continuar, você aceita os Termos de Uso e Política de Privacidade

Prévia do material em texto

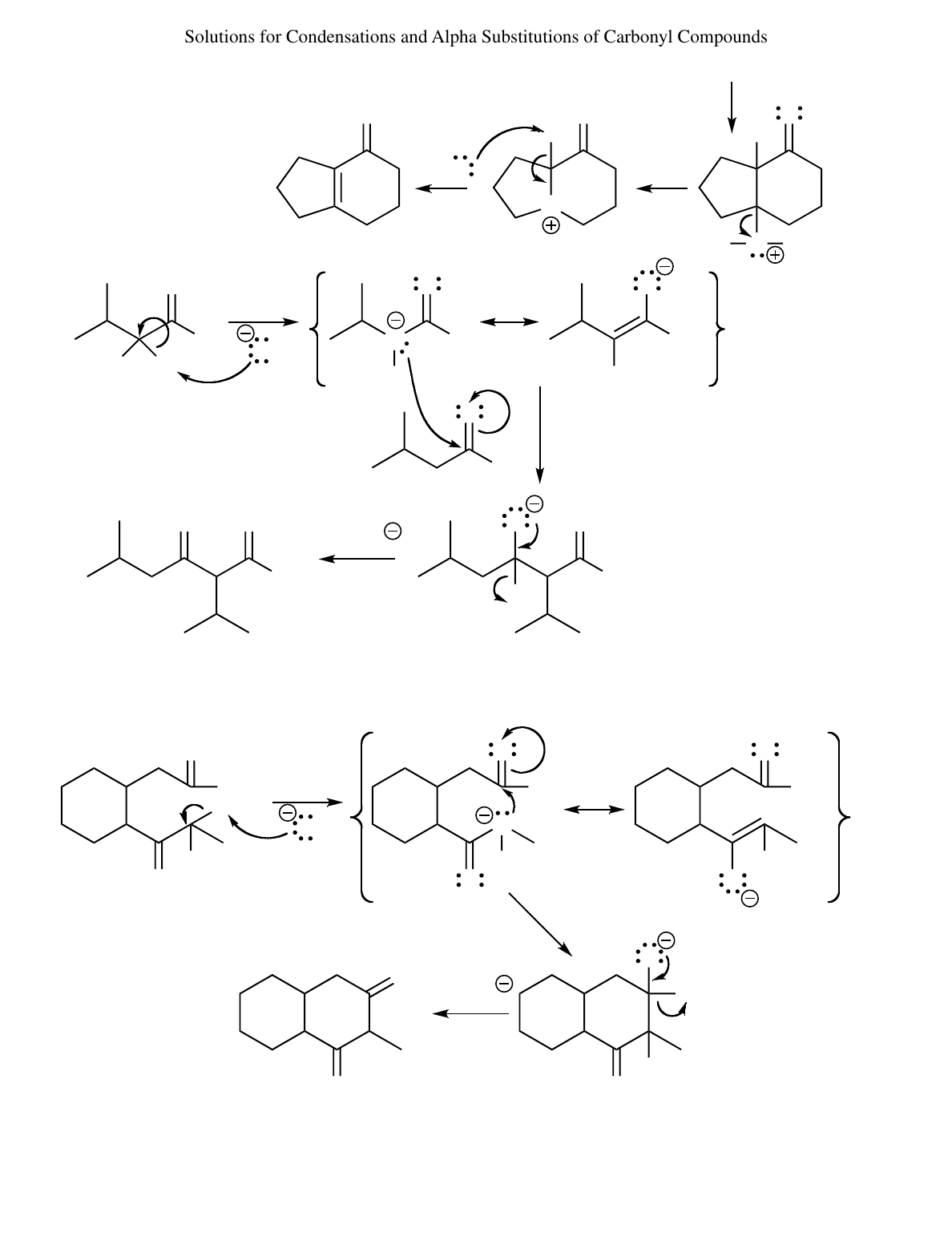
Solutions for Condensations and Alpha Substitutions of Carbonyl Compounds
64(b) continued from previous page
O
O
H
H H
C
O
H
– H2O
O
H2O
OMe
O
H
OMe
O
H H
C OMe
O
H
OMe
OMe
O
OMe
OO
OMe
OMe
OO
O
OMe
O
H
H
C
O
OMe
O
H
O
OMe
O
H
OMe
O
OMe
O
H
O
O
– MeO
(This product will be deprotonated by methoxide 
but regenerated upon acidic workup.)
(d) mechanism of Claisen condensation in problem 63(b)
(c) mechanism of Claisen condensation in problem 63(a)
– MeO
(This product will be deprotonated by methoxide 
but regenerated upon acidic workup.)
581

Mais conteúdos dessa disciplina