Logo Passei Direto
Buscar
Material
páginas com resultados encontrados.
páginas com resultados encontrados.
left-side-bubbles-backgroundright-side-bubbles-background

Crie sua conta grátis para liberar esse material. 🤩

Já tem uma conta?

Ao continuar, você aceita os Termos de Uso e Política de Privacidade

Prévia do material em texto

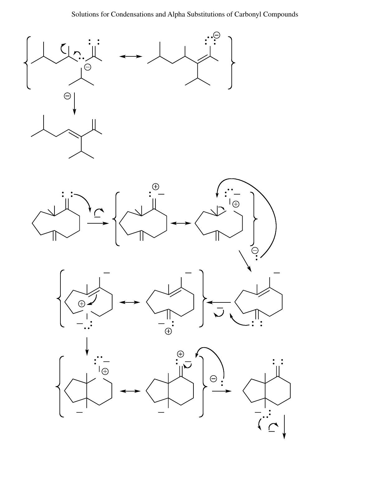
Solutions for Condensations and Alpha Substitutions of Carbonyl Compounds
64 (a) continued
C H
OOH
H
OOH
H
O
– HO
O
O
H H
H A
O
O
H H
H
C
O
O
H H
H
O
O H
H
A H
O
O H
H
H
C
O
O H
H
H
C
O
O H
H
H O
O H
H
H O
O
H
H
H A
(b) mechanism of aldol condensation in problem 62(b)
A
A
mechanism continued on next page
580

Mais conteúdos dessa disciplina