Logo Passei Direto
Buscar
Material
páginas com resultados encontrados.
páginas com resultados encontrados.

Prévia do material em texto

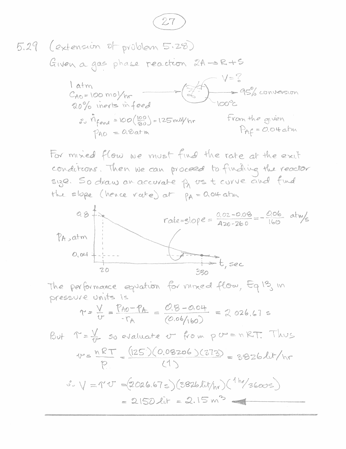
27 5.29 (extension of problem 5.28) Given a gas phase reaction 2A R+S V=? \ atm CAO= = 100 95% conversion 20% inerts in feed = 100(100) = From the given PAO = 0.8atm = For mixed flow we must find the rate at the exit Then can proceed to finding the reactor size. So draw an accurate PA t curve and find the slope (hence rate) at PA = 0,04 atm 0.8 rate=slope = 0.02-0.08 420-260 160 atm/s PA,atm 0,04 t,sec 20 330 The performance equation for mixed flow, Eq 13, in pressure units is V v = PAO-PA = (0.06/160) = -rA But = evaluate from pa Thus = nRT = = 3826lit/hr (1) V = TV = = 2150 lit = 2.15

Mais conteúdos dessa disciplina