Logo Passei Direto
Buscar
Material
páginas com resultados encontrados.
páginas com resultados encontrados.

Prévia do material em texto

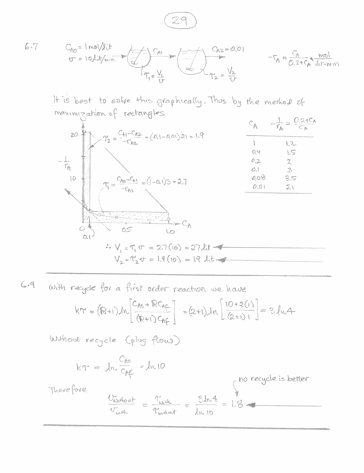
29 6.7 CAO = mol/lit CA2 0.01 v = = CA let.min mol = = V2 It is best to salve this graphically. Thus by the method of maximization of rectangles CA rA = CA 20 T2 = = = 1.2 0.4 1.5 0.2 2 ΓA 0.1 3 10 = = = 2.7 0.08 3.5 -TAI 0.01 21 CA 0 0.5 1.0 0.1 = v = 2.7 (10) = 27 lit = T2 = 1.9 (10) = 19 lit 6.9 with recycle for a first order reaction we have + 10+2(1) KT = = (2+1) = 3ln4 (R+1) CAF Without recycle (plug flow) KT = In CAO CAF no recycle is better Therefore = Twith = = 1.8 without 10

Mais conteúdos dessa disciplina